| 查看: 700 | 回复: 4 | ||
niertanran新虫 (初入文坛)
|
[求助]
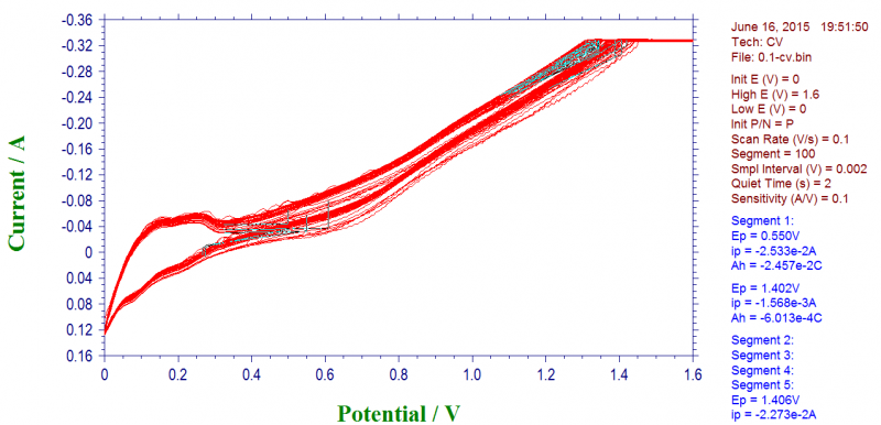
关于CV的一些问题 已有2人参与
|
|
|
|
||
|
2楼2015-06-17 00:33:00
|
|
|
niertanran新虫 (初入文坛)
|
||
|
3楼2015-06-17 10:43:04
|
|
|
xiaolei731银虫 (小有名气)
科研渣渣
|
【答案】应助回帖
感谢参与,应助指数 +1
» 本帖已获得的红花(最新10朵) |
|
![]() |
||
|
4楼2015-06-18 10:09:53
|
|
|
niertanran新虫 (初入文坛)
|
||
|
5楼2015-06-19 00:30:45
|
|













回复此楼
niertanran
