Znn3bq.jpeg
²é¿´: 4292  |  »Ø¸´: 2

ñ¸ñ¶sai

гæ (СÓÐÃûÆø)

[ÇóÖú] ´¿ÂÁѹËõʵÑéÓ¦Á¦Ó¦±äÇúÏßÇóÇü·þÓ¦Á¦ ÒÑÓÐ1È˲ÎÓë

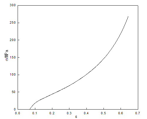
×öÁË´¿ÂÁµÄѹËõʵÑé µÃµ½Ó¦Á¦Ó¦±äÇúÏß ¿´²»³öÓÐÃ÷ÏÔÇü·þ ²»ÖªµÀ¸ÃÔõô·ÖÎö£¬Çó´ó¼Ò°ïæ¡£ÊÔ×Å×öÁËÏÂÇü·þÓ¦Á¦£¬²»ÖªµÀ¶Ô²»¶Ô.

´¿ÂÁѹËõʵÑéÓ¦Á¦Ó¦±äÇúÏßÇóÇü·þÓ¦Á¦
1.png


´¿ÂÁѹËõʵÑéÓ¦Á¦Ó¦±äÇúÏßÇóÇü·þÓ¦Á¦-1
2.png
»Ø¸´´ËÂ¥

» ²ÂÄãϲ»¶

» ±¾Ö÷ÌâÏà¹Ø¼ÛÖµÌùÍÆ¼ö£¬¶ÔÄúͬÑùÓаïÖú:

ÒÑÔÄ   »Ø¸´´ËÂ¥   ¹Ø×¢TA ¸øTA·¢ÏûÏ¢ ËÍTAºì»¨ TAµÄ»ØÌû

peterflyer

ľ³æÖ®Íõ (ÎÄѧ̩¶·)

peterflyer


¡¾´ð°¸¡¿Ó¦Öú»ØÌû

¸Ðл²ÎÓ룬ӦÖúÖ¸Êý +1
½¨ÒéÏȽ«×ø±êÔ­µãÒÆµ½ÇúÏßÓëÓ¦±äºáÖáµÄ½»µã´¦£¬È»ºóÒԴ˵ãÏòÇúÏß×öÇÐÏߣ¬Çе㼴ΪÇü·þµã¡£ÁíÍ⣬¿¼Âǵ½Ö»ÓÐÇü·þÒÔºó²ÄÁϲŻᷢÉú¼Ó¹¤Ó²»¯ÏÖÏó£¬Òò´Ë£¬ÕæÕýµÄÇü·þµãÓ¦¸ÃÔÚÓ¦Á¦·¢ÉúÇÐÏßбÂÊ´ó·ùÉÏÑï֮ǰµÄij´¦¡£×ÛºÏÒÔÉÏÁ½µã×îºó¾ö¶¨Çü·þµãλÖá£
2Â¥2015-06-02 21:22:41
ÒÑÔÄ   »Ø¸´´ËÂ¥   ¹Ø×¢TA ¸øTA·¢ÏûÏ¢ ËÍTAºì»¨ TAµÄ»ØÌû

ñ¸ñ¶sai

гæ (СÓÐÃûÆø)

ÒýÓûØÌû:
2Â¥: Originally posted by peterflyer at 2015-06-02 21:22:41
½¨ÒéÏȽ«×ø±êÔ­µãÒÆµ½ÇúÏßÓëÓ¦±äºáÖáµÄ½»µã´¦£¬È»ºóÒԴ˵ãÏòÇúÏß×öÇÐÏߣ¬Çе㼴ΪÇü·þµã¡£ÁíÍ⣬¿¼Âǵ½Ö»ÓÐÇü·þÒÔºó²ÄÁϲŻᷢÉú¼Ó¹¤Ó²»¯ÏÖÏó£¬Òò´Ë£¬ÕæÕýµÄÇü·þµãÓ¦¸ÃÔÚÓ¦Á¦·¢ÉúÇÐÏßбÂÊ´ó·ùÉÏÑï֮ǰµÄij´¦¡£×ÛºÏÒÔ ...

ÇúÏßûÓÐÔÚÔ­µãÊÇÒòΪѹËõ¸Õ¿ªÊ¼µÄ½×¶ÎµÄÓ¦Á¦Ó¦±äÊý¾ÝºÜС£¬ÔÚͼÀï¾Í¼¸ºõºÍÓ¦±äºáÖáÖØºÏÁË£¬Õⲿ·ÖÊÇ¿ÉÒÔºöÂÔµÄÂ𣿻¹ÓÐÎÒµÚ¶þ¸öͼÀïÄÇÑùÕÒ³öµÄÇü·þÓ¦Á¦µãÊǶԵÄÂð£¿
3Â¥2015-06-03 09:16:44
ÒÑÔÄ   »Ø¸´´ËÂ¥   ¹Ø×¢TA ¸øTA·¢ÏûÏ¢ ËÍTAºì»¨ TAµÄ»ØÌû
Ïà¹Ø°æ¿éÌø×ª ÎÒÒª¶©ÔÄÂ¥Ö÷ ñ¸ñ¶sai µÄÖ÷Ìâ¸üÐÂ
×î¾ßÈËÆøÈÈÌûÍÆ¼ö [²é¿´È«²¿] ×÷Õß »Ø/¿´ ×îºó·¢±í
[¿¼ÑÐ] 22408 312Çóµ÷¼Á +18 ÃÅ·ÃþÃþ 2026-04-14 19/950 2026-04-15 14:23 by °ÍÈûÂÞÄÇ2015
[¿¼ÑÐ] 0854µ÷¼Á +13 ³¤¹­°Á 2026-04-12 16/800 2026-04-15 13:45 by fenglj492
[¿¼ÑÐ] 297¹¤¿Æµ÷¼Á? +14 ºÓÄÏũҵ´óѧ-ÄÜ 2026-04-13 15/750 2026-04-15 13:25 by ºÚ¿Æ¼¼¿óÒµ
[¿¼ÑÐ] 291·Öµ÷¼Á +9 Éϰ¶Ð¡Ó¨¼ÓÓÍ 2026-04-09 10/500 2026-04-15 13:00 by Î÷±±Íû¡ª·çɳ
[¿¼ÑÐ] Ò»Ö¾Ô¸»ªÖÐũҵ071010£¬320Çóµ÷¼Á +10 À§À§À§À§À¤À¤ 2026-04-14 11/550 2026-04-15 12:45 by Î÷±±Íû¡ª·çɳ
[¿¼ÑÐ] Çóµ÷¼ÁÍÆ¼ö +5 СÄô°®Ñ§Ï° 2026-04-14 5/250 2026-04-15 09:01 by blunt110
[¿¼ÑÐ] 366Çóµ÷¼Á +11 ²»ÖªÃûµÄСئ 2026-04-11 11/550 2026-04-14 15:50 by zs92450
[¿¼ÑÐ] 279ѧ˶ʳƷרҵÇóµ÷¼ÁԺУ 20+6 ¹Â¶ÀµÄÀǰ®³ÔÑò 2026-04-12 28/1400 2026-04-14 15:44 by zs92450
[½Ìʦ֮¼Ò] ת³¤Æ¸ÁË +7 ¼òµ¥»¯xn 2026-04-13 7/350 2026-04-14 14:50 by xindong
[¿¼ÑÐ] 293Çóµ÷¼Á +16 ÎÒ°®¸ßÊý¸ßÊý°®Î 2026-04-12 18/900 2026-04-13 21:47 by ѧԱJpLReM
[¿¼ÑÐ] Ò»Ö¾Ô¸Î÷½»»úеר˶Çóµ÷¼Á +9 ÇóÉϰ¶µÄСÍõ 2026-04-10 9/450 2026-04-13 16:08 by jiangguiquan11
[¿¼ÑÐ] Ò»Ö¾Ô¸211 0703»¯Ñ§ 346·ÖÇóµ÷¼Á +26 ÍÁ¶¹er? 2026-04-09 29/1450 2026-04-13 15:15 by ¶À×íÃι³Ç
[¿¼ÑÐ] ÉúÎïѧµ÷¼Á£¬Ò»Ö¾Ô¸Î÷ÄÏ´óѧ348£¬TopÆÚ¿¯Ò»Çø¶þ×÷¡¢¶þÇøÈý×÷£¬ÈýµÈ½±Ñ§½ðÈý´Î +5 candyyyi 2026-04-09 5/250 2026-04-13 09:02 by ¿Éµ­²»¿ÉÍü
[½Ìʦ֮¼Ò] ɽ¶«Ë«·ÇԺУ¿¼ºË³¬¼¶ÎÞµ×Ïߣ¬Áìµ¼ÐÒÔÖÀÖ»ö£¬½ÌʦÔâÑê¿Ö +3 qut2026 2026-04-11 7/350 2026-04-12 20:24 by qut2026
[¿¼ÑÐ] 281Çóµ÷¼Á +11 ¾õµÃºÃµÄ°É 2026-04-10 11/550 2026-04-11 09:35 by ÄæË®³Ë·ç
[¿¼ÑÐ] 346£¬¹¤¿Æ0854Çóµ÷¼Á£¬×¨Ë¶ +7 moser233 2026-04-10 8/400 2026-04-11 08:52 by Öí»á·É
[¿¼ÑÐ] 0858Çóµ÷¼Á 5+5 Gky09300550£¬ 2026-04-10 8/400 2026-04-10 19:13 by chemisry
[¿¼ÑÐ] ³õÊÔ·Ö332£¬Ò»Ö¾Ô¸±¨¿¼Î÷±±¹¤Òµ´óѧ£¬ +11 ¹ÊÈË?? 2026-04-09 11/550 2026-04-09 21:54 by JineShine
[ÂÛÎÄͶ¸å] ÇóÖúÎÄÏ×Ô­ÎÄ 10+3 18500821399 2026-04-08 3/150 2026-04-09 16:56 by ±±¾©À³ÒðÈóÉ«
[¿¼ÑÐ] 349ѧ¿Æ»¯Ñ§045106Çóµ÷¼Á£¬»¯Ñ§Àà¶¼¿ÉÒÔ +8 ±£ºÃ¶®¶® 2026-04-08 8/400 2026-04-09 14:03 by xulei3024
ÐÅÏ¢Ìáʾ
ÇëÌî´¦ÀíÒâ¼û