版块导航
正在加载中...
客户端APP下载
论文辅导
调剂小程序
登录
注册
帖子
帖子
用户
本版
应《网络安全法》要求,自2017年10月1日起,未进行实名认证将不得使用互联网跟帖服务。为保障您的帐号能够正常使用,请尽快对帐号进行手机号验证,感谢您的理解与支持!
24小时热门版块排行榜
>
论坛更新日志
(3017)
>
虫友互识
(337)
>
导师招生
(231)
>
文献求助
(158)
>
硕博家园
(113)
>
考研
(90)
>
考博
(74)
>
休闲灌水
(69)
>
博后之家
(62)
>
招聘信息布告栏
(44)
>
教师之家
(36)
>
论文投稿
(36)
>
基金申请
(32)
>
公派出国
(29)
>
论文道贺祈福
(28)
>
找工作
(23)
小木虫论坛-学术科研互动平台
»
生物医药区
»
分子生物
»
分子生理
»
流式细胞的结果不会分析,大虾们帮看下这个结果能不能用
6
1/1
返回列表
查看: 753 | 回复: 5
只看楼主
@他人
存档
新回复提醒
(忽略)
收藏
在APP中查看
sushiivy
铜虫
(小有名气)
应助: 0
(幼儿园)
金币: 203.8
散金: 35
帖子: 80
在线: 91.1小时
虫号: 771880
注册: 2009-05-16
专业: 色谱分析
[
求助
]
流式细胞的结果不会分析,大虾们帮看下这个结果能不能用
已有1人参与
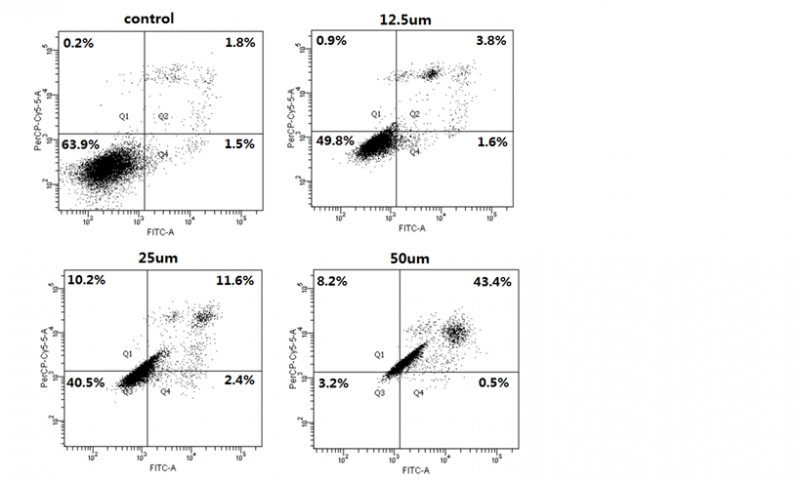
做的是一个药物是否对内皮细胞 凋亡
Annexin V-FITC
流式细胞图.png
回复此楼
» 猜你喜欢
筑牢营养安全线:以精准检测,护健康基石
已经有0人回复
推荐一些20种氨基酸检测的实际应用案例
已经有0人回复
化学工程及工业化学论文润色/翻译怎么收费?
已经有248人回复
不合理蛙科研实验中的趣事:实验器材的 “乌龙”
已经有0人回复
不合理蛙科研实验中的趣事:和实验材料的 “斗智斗勇”
已经有0人回复
蛋白质检测:精准分析,解锁生物分子的密码
已经有0人回复
不合理蛙科研实验之小鼠实验:严谨设计,解析生命机制的重要载体
已经有0人回复
不合理蛙科研实验之重金属检测:精准筛查,守护健康与环境的防线
已经有0人回复
不合理蛙科研实验之“蛙测重金属我背锅三千”
已经有0人回复
不合理蛙科研实验之“鼠逃三次我发三篇SCI”
已经有0人回复
» 本主题相关价值贴推荐,对您同样有帮助:
关于流式细胞术结果分析
已经有3人回复
哪位能帮我看一下 流式检测细胞周期 分析图 能用吗
已经有4人回复
流式细胞仪测定细胞凋亡结果分析
已经有32人回复
高手帮助分析一下流式细胞仪双染测细胞凋亡的问题出在哪?
已经有8人回复
【求助】求助关于流式细胞的细胞周期检测结果分析
已经有7人回复
【求助】集列的上下极限的三个问题?请大虾解答
已经有14人回复
【求助/交流】细胞凋亡率的测定能不能不用流式细胞仪测?
已经有7人回复
1楼
2015-05-27 11:04:50
已阅
回复此楼
关注TA
给TA发消息
送TA红花
TA的回帖
小小逍遥人
金虫
(正式写手)
张斌猪
MolEPI: 1
应助: 41
(小学生)
金币: 348
红花: 12
帖子: 626
在线: 97.9小时
虫号: 1438530
注册: 2011-10-12
性别: GG
专业: 系统生物学
可以 只要Q1少就可以
赞
一下
(1人)
回复此楼
生命还需要奇迹来衬托
2楼
2015-05-27 12:32:03
已阅
回复此楼
关注TA
给TA发消息
送TA红花
TA的回帖
sushiivy
铜虫
(小有名气)
应助: 0
(幼儿园)
金币: 203.8
散金: 35
帖子: 80
在线: 91.1小时
虫号: 771880
注册: 2009-05-16
专业: 色谱分析
引用回帖:
2楼
:
Originally posted by
小小逍遥人
at 2015-05-27 12:32:03
可以 只要Q1少就可以
为什么?这个结果怎么分析,求赐教
赞
一下
回复此楼
3楼
2015-05-30 17:21:44
已阅
回复此楼
关注TA
给TA发消息
送TA红花
TA的回帖
小小逍遥人
金虫
(正式写手)
张斌猪
MolEPI: 1
应助: 41
(小学生)
金币: 348
红花: 12
帖子: 626
在线: 97.9小时
虫号: 1438530
注册: 2011-10-12
性别: GG
专业: 系统生物学
引用回帖:
3楼
:
Originally posted by
sushiivy
at 2015-05-30 17:21:44
为什么?这个结果怎么分析,求赐教...
Q2 Q4加起来就是凋亡率 Q1代表是机械损伤
赞
一下
回复此楼
生命还需要奇迹来衬托
4楼
2015-05-30 18:11:00
已阅
回复此楼
关注TA
给TA发消息
送TA红花
TA的回帖
supernetcat
新虫
(初入文坛)
应助: 0
(幼儿园)
金币: 1.5
帖子: 5
在线: 24分钟
虫号: 4029232
注册: 2015-08-19
【答案】应助回帖
估计楼主用Control来调的电压补偿,但给药组的荧光逐渐偏离,建议还是重新调一下电压比较好
赞
一下
回复此楼
5楼
2015-08-19 11:52:04
已阅
回复此楼
关注TA
给TA发消息
送TA红花
TA的回帖
蓦然回首2010
木虫
(正式写手)
应助: 5
(幼儿园)
金币: 4343.7
散金: 173
红花: 4
帖子: 687
在线: 230.7小时
虫号: 1171720
注册: 2010-12-17
性别:
MM
专业: 生物化工与食品化工
引用回帖:
5楼
:
Originally posted by
supernetcat
at 2015-08-19 11:52:04
估计楼主用Control来调的电压补偿,但给药组的荧光逐渐偏离,建议还是重新调一下电压比较好
请问如何调节电压?谢谢
赞
一下
回复此楼
很努力的做的更好,不为别的,只求赶紧的向前走!
6楼
2015-10-16 22:00:09
已阅
回复此楼
关注TA
给TA发消息
送TA红花
TA的回帖
相关版块跳转
新药研发
药学
药品生产
分子生物
微生物
动植物
生物科学
医学
我要订阅楼主
sushiivy
的主题更新
6
1/1
返回列表
如果回帖内容含有宣传信息,请如实选中。否则帐号将被全论坛禁言
普通表情
龙
兔
虎
猫
百度网盘
|
360云盘
|
千易网盘
|
华为网盘
在新窗口页面中打开自己喜欢的网盘网站,将文件上传后,然后将下载链接复制到帖子内容中就可以了。
信息提示
关闭
请填处理意见
关闭
确定