版块导航
正在加载中...
客户端APP下载
论文辅导
申博辅导
登录
注册
帖子
帖子
用户
本版
应《网络安全法》要求,自2017年10月1日起,未进行实名认证将不得使用互联网跟帖服务。为保障您的帐号能够正常使用,请尽快对帐号进行手机号验证,感谢您的理解与支持!
24小时热门版块排行榜
>
论坛更新日志
(2728)
>
虫友互识
(256)
>
导师招生
(133)
>
文献求助
(132)
>
论文投稿
(56)
>
休闲灌水
(51)
>
博后之家
(47)
>
硕博家园
(31)
>
招聘信息布告栏
(29)
>
考研
(27)
>
考博
(25)
>
基金申请
(19)
>
教师之家
(14)
>
留学DIY
(13)
>
公派出国
(13)
>
绿色求助(高悬赏)
(12)
小木虫论坛-学术科研互动平台
»
化学化工区
»
高分子
»
高分子化学
»
超支化聚合物合成条件
2
1/1
返回列表
查看: 443 | 回复: 1
只看楼主
@他人
存档
新回复提醒
(忽略)
收藏
在APP中查看
宇宙win神
金虫
(小有名气)
应助: 0
(幼儿园)
金币: 1380.3
散金: 50
帖子: 146
在线: 48.4小时
虫号: 1932927
注册: 2012-08-10
性别: GG
专业: 有机化学
[交流]
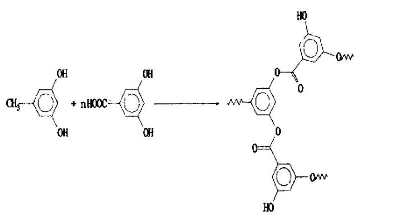
超支化聚合物合成条件
求合成条件,用什么除水,让反应向右进行
图片1.jpg
回复此楼
» 猜你喜欢
拟解决的关键科学问题还要不要写
已经有7人回复
存款400万可以在学校里躺平吗
已经有17人回复
请教限项目规定
已经有3人回复
基金委咋了?2026年的指南还没有出来?
已经有10人回复
基金申报
已经有6人回复
推荐一本书
已经有13人回复
国自然申请面上模板最新2026版出了吗?
已经有17人回复
纳米粒子粒径的测量
已经有8人回复
疑惑?
已经有5人回复
计算机、0854电子信息(085401-058412)调剂
已经有5人回复
高级回复
» 本主题相关价值贴推荐,对您同样有帮助:
关于安徽省2015年度自然科学基金拟立项项目的公示
已经有20人回复
分享——颜德岳院士著——超支化聚合物:合成、性能与应用(英文版)
已经有174人回复
端基是卤素的超支化聚合物能通过改变端基来改性吗?
已经有15人回复
超支化聚合物可以大幅度提高环氧树脂和聚氨酯粘合剂剪切强度和粘合性
已经有4人回复
用对氯甲基苯乙烯作为inimer,ATRP合成超支化聚合物后处理!!!!
已经有14人回复
迈克尔加成聚合产物,总是沉淀的量很少,请大家来帮忙分析下
已经有11人回复
分子量分布的影响因素
已经有11人回复
树枝状大分子的应用
已经有19人回复
3,5-二氨基苯甲酸和对苯二甲酸的反应
已经有3人回复
求助:请问有研究枝状高分子/超支化聚合物的吗?或者知道哪里有卖的?
已经有4人回复
超支化聚合物粘度低的原因
已经有13人回复
请问均相的聚合物溶液怎样让其以固体粉末状析出
已经有4人回复
端氨基超支化聚合物合成过程中的问题
已经有3人回复
【交流】什么聚合物加工的时候粘度较低?
已经有35人回复
【求助】超支化聚合物的支化度
已经有9人回复
【求助】聚合物分子量分布窄或宽,到底有什么用??
已经有13人回复
【交流】利用界面聚合制备高分子复合膜过程中如何解决水相单体的扩散性和分散性问题
已经有16人回复
【交流】对氯甲基苯乙烯聚合问题
已经有8人回复
【求助】为什么我的超支化聚酯用GPC测出来的分子量只有1000多?
已经有18人回复
1楼
2015-05-12 09:51:45
已阅
回复此楼
关注TA
给TA发消息
送TA红花
TA的回帖
沙皇骑士
金虫
(职业作家)
123
应助: 10
(幼儿园)
金币: 1112.3
散金: 1085
红花: 19
沙发: 1
帖子: 3370
在线: 257.3小时
虫号: 742340
注册: 2009-04-07
性别: GG
专业: 应用有机化学
★
小木虫: 金币+0.5, 给个红包,谢谢回帖
这个实验方案不行吧,苯羟基很稳定啊,如果可以做哈,一般用甲苯带水吧
[ 发自小木虫客户端 ]
赞
一下
回复此楼
低调做人,本分做事。
2楼
2015-05-12 23:48:25
已阅
回复此楼
关注TA
给TA发消息
送TA红花
TA的回帖
相关版块跳转
有机交流
有机资源
高分子
无机/物化
分析
催化
工艺技术
化工设备
石油化工
精细化工
电化学
环境
SciFinder/Reaxys
我要订阅楼主
宇宙win神
的主题更新
2
1/1
返回列表
如果回帖内容含有宣传信息,请如实选中。否则帐号将被全论坛禁言
普通表情
龙
兔
虎
猫
高级回复
(可上传附件)
百度网盘
|
360云盘
|
千易网盘
|
华为网盘
在新窗口页面中打开自己喜欢的网盘网站,将文件上传后,然后将下载链接复制到帖子内容中就可以了。
信息提示
关闭
请填处理意见
关闭
确定