| 查看: 2256 | 回复: 9 | ||||
caotian2014木虫 (正式写手)
|
[求助]
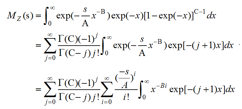
推导一个公式,关于MGF函数的,老是出现积分等于无穷的情况 已有2人参与
|
|||
|
|
||||
caotian2014木虫 (正式写手)
|
||||
|
2楼2015-05-08 10:55:56
|
|
|||
zaq123321专家顾问 (著名写手)
|
【答案】应助回帖
感谢参与,应助指数 +1
|
|||
![]() |
||||
|
3楼2015-05-08 18:25:12
|
|
|||
caotian2014木虫 (正式写手)
|
||||
|
4楼2015-05-09 17:52:27
|
|
|||
![]() |
||||
|
5楼2015-08-25 22:04:16
|
|
|||
caotian2014木虫 (正式写手)
|
||||
|
6楼2015-08-26 18:51:27
|
|
|||
![]() |
||||
|
7楼2015-08-27 15:21:36
|
|
|||
caotian2014木虫 (正式写手)
|
|
|||
|
8楼2015-08-29 09:41:07
|
|
|||
![]() |
||||
|
9楼2015-08-29 15:16:50
|
|
|||
caotian2014木虫 (正式写手)
|
||||
|
10楼2015-08-30 09:09:42
|
|













,这次我把全部放上来,请大家支支招!
回复此楼
