| 查看: 1918 | 回复: 3 | ||
jkxsanger银虫 (初入文坛)
|
[求助]
【欧拉拉格朗日方程】关于一篇文章中的公式推导问题 已有2人参与
|
|
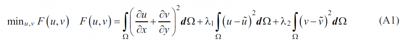
大家好,目前自己在一篇文章中最优化问题的解决比较头疼,主要是对它的一个对推导过程相当疑惑(一直是计算机专业,泛函这些都没学过)。 问题是这样的 文章中说到,通过欧拉拉格朗日变分 F(u,v), 上面的式子可以写成下面的形式 A2.png 能给一个比较详细的推导过程吗?先谢过。 |
» 猜你喜欢
282求调剂
已经有11人回复
本科211生物医学工程085409求调剂339分
已经有8人回复
材料调剂
已经有3人回复
284求调剂
已经有13人回复
385分 生物学(071000)求调剂
已经有10人回复
材料专硕 调剂
已经有14人回复
求调剂
已经有5人回复
306分材料与化工求调剂
已经有7人回复
一志愿211生物学280分 求调剂
已经有3人回复
086000生物与医药298调剂求助
已经有9人回复
» 本主题相关价值贴推荐,对您同样有帮助:
关于理论计算发文章的问题
已经有8人回复
Nature Photonics投稿经历
已经有17人回复
关于latex中公式引用问题。
已经有3人回复
论文写作中公式符号统一问题
已经有9人回复
求教程~matlab能推导复杂的公式么?听说用matlab中的符号运算?有相关的资料教程么?
已经有11人回复
求助基于DQ变换的公式推导问题,谢谢
已经有5人回复
吸波公式中常数含义?
已经有8人回复
发现一篇文章的理论公式有误,要不要写篇comment给这个期刊
已经有16人回复
发现别人已经出版的SCI论文有错误的地方,该怎么办
已经有47人回复
制造领域投稿求助
已经有4人回复
IEEE 文章公式编辑
已经有7人回复
论文里面的公式引用问题
已经有11人回复
投出去的文章,发现公式里有个符号错了
已经有6人回复
自己的后续文章引用自己的在审的文章中的句子或公式,需要标明引用吗?
已经有10人回复
求助:西格玛求和公式推导问题
已经有19人回复
求教这样的中文和英文文章有没有问题
已经有8人回复
毕业后到新单位,改的文章可以加上现在单位吗?
已经有15人回复
一个大学教授、审稿专家的写作经验
已经有33人回复

2楼2015-04-05 09:14:34
jkxsanger
银虫 (初入文坛)
- 应助: 0 (幼儿园)
- 金币: 284.8
- 散金: 10
- 帖子: 38
- 在线: 118.2小时
- 虫号: 1266216
- 注册: 2011-04-15
- 性别: GG
- 专业: 人体医学信号检测、识别、

3楼2015-04-05 11:19:34
终之太刀—晓
铁杆木虫 (著名写手)
数学爱好者
- 数学EPI: 7
- 应助: 282 (大学生)
- 贵宾: 0.018
- 金币: 2934.2
- 散金: 5589
- 红花: 53
- 帖子: 1809
- 在线: 401.6小时
- 虫号: 3469007
- 注册: 2014-10-12
- 性别: MM
- 专业: 偏微分方程
【答案】应助回帖
★ ★ ★ ★ ★ ★ ★ ★ ★ ★ ★ ★ ★ ★ ★ ★ ★ ★
感谢参与,应助指数 +1
jkxsanger: 金币+18, ★★★★★最佳答案, 太感谢了! 2015-04-05 11:33:32
感谢参与,应助指数 +1
jkxsanger: 金币+18, ★★★★★最佳答案, 太感谢了! 2015-04-05 11:33:32
|
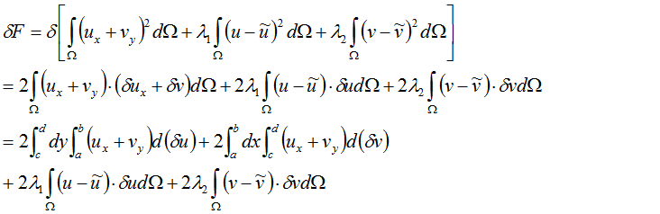
2楼层主所述的是泛函的Gateaux微分,对于楼主而言可能过于专业。 下面用变分的基本运算进行推导(可以参考链接:http://muchong.com/bbs/viewthread.php?tid=8551306&fpage=1&target=blank 书籍的内容,难度适合工科生): 1.png 2.png 3.png 4.png |

4楼2015-04-05 11:22:42














回复此楼
jkxsanger