24СʱÈÈÃŰæ¿éÅÅÐаñ    

Znn3bq.jpeg
ÉÇÍ·´óѧº£Ñó¿ÆÑ§½ÓÊܵ÷¼Á
²é¿´: 807  |  »Ø¸´: 4

lyiheart

Í­³æ (СÓÐÃûÆø)

[ÇóÖú] °ïæ¿´¿´ÕâÁ©¹«Ê½

ÓеãÒÅÍüÁË£¬ÇëÖ¸µãһϣº

°ïæ¿´¿´ÕâÁ©¹«Ê½

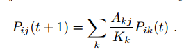
ÈçÉÏͼ£¬ÇóºÍ·ûºÅj1...Ò»Ö±µ½j(t-1)£¬ÕâÑùÊDZíÃ÷×öµÄÔõÑùµÄÔËË㣿лл

°ïæ¿´¿´ÕâÁ©¹«Ê½-1

ÔÙÈçÉÏͼ£¬µÈºÅ×ó±ßµÄ¡°ÎÞÇ£¬±íʾµÄÊÇÈ¡PiµÄ¼«ÏÞÊÇô£¿Ð»Ð»
»Ø¸´´ËÂ¥

» ²ÂÄãϲ»¶

» ±¾Ö÷ÌâÏà¹Ø¼ÛÖµÌùÍÆ¼ö£¬¶ÔÄúͬÑùÓаïÖú:

¼ÓÓÍ
ÒÑÔÄ   »Ø¸´´ËÂ¥   ¹Ø×¢TA ¸øTA·¢ÏûÏ¢ ËÍTAºì»¨ TAµÄ»ØÌû

feixiaolin

ÈÙÓþ°æÖ÷ (ÎÄ̳¾«Ó¢)

ÓÅÐã°æÖ÷

1.  =Sum{x1, x1*x2, x1*x2*x3, ¡­}
2. =lim{j--->inf}Sum{x1, x1*x2, x1*x2*x3, ¡­}
2Â¥2015-04-04 17:47:43
ÒÑÔÄ   »Ø¸´´ËÂ¥   ¹Ø×¢TA ¸øTA·¢ÏûÏ¢ ËÍTAºì»¨ TAµÄ»ØÌû

lyiheart

Í­³æ (СÓÐÃûÆø)

ÒýÓûØÌû:
2Â¥: Originally posted by feixiaolin at 2015-04-04 17:47:43
1.  =Sum{x1, x1*x2, x1*x2*x3, ¡­}
2. =lim{j--->inf}Sum{x1, x1*x2, x1*x2*x3, ¡­}

лл°æÖ÷
¼ÓÓÍ
3Â¥2015-04-17 23:46:09
ÒÑÔÄ   »Ø¸´´ËÂ¥   ¹Ø×¢TA ¸øTA·¢ÏûÏ¢ ËÍTAºì»¨ TAµÄ»ØÌû

lyiheart

Í­³æ (СÓÐÃûÆø)

ÒýÓûØÌû:
2Â¥: Originally posted by feixiaolin at 2015-04-04 17:47:43
1.  =Sum{x1, x1*x2, x1*x2*x3, ¡­}
2. =lim{j--->inf}Sum{x1, x1*x2, x1*x2*x3, ¡­}

ºÜ¸Ðл£¬Ä¿Ç°ÔÙ×·ÎʸöÎÊÌ⣬Âé·³ÔÙ¿´¿´£º

°ïæ¿´¿´ÕâÁ©¹«Ê½-2

ÈçÉÏÃæÕâ¸öº¯Êý£¬ÄÜÂé·³¾Ù¸öÀý×Ó²»¡£iºÍj±íʾµÄÊÇÁ½¸öµã£¬k(Сд)ÊÇiºÍjÖмäµÄijһ¸öµã¡£

ÕâÑùÓ¦¸ÃÒ²ÊÇ×öÒ»¸öÇóºÍµÄÔËËã¶ÔÂð£¿Ð»Ð»
¼ÓÓÍ
4Â¥2015-04-17 23:47:38
ÒÑÔÄ   »Ø¸´´ËÂ¥   ¹Ø×¢TA ¸øTA·¢ÏûÏ¢ ËÍTAºì»¨ TAµÄ»ØÌû

feixiaolin

ÈÙÓþ°æÖ÷ (ÎÄ̳¾«Ó¢)

ÓÅÐã°æÖ÷

ÒýÓûØÌû:
4Â¥: Originally posted by lyiheart at 2015-04-17 23:47:38
ºÜ¸Ðл£¬Ä¿Ç°ÔÙ×·ÎʸöÎÊÌ⣬Âé·³ÔÙ¿´¿´£º



ÈçÉÏÃæÕâ¸öº¯Êý£¬ÄÜÂé·³¾Ù¸öÀý×Ó²»¡£iºÍj±íʾµÄÊÇÁ½¸öµã£¬k(Сд)ÊÇiºÍjÖмäµÄijһ¸öµã¡£

ÕâÑùÓ¦¸ÃÒ²ÊÇ×öÒ»¸öÇóºÍµÄÔËËã¶ÔÂð£¿Ð»Ð»...

Ó¦ÊÓΪÇóºÍ

[ ·¢×ÔСľ³æ¿Í»§¶Ë ]
5Â¥2015-04-17 23:55:28
ÒÑÔÄ   »Ø¸´´ËÂ¥   ¹Ø×¢TA ¸øTA·¢ÏûÏ¢ ËÍTAºì»¨ TAµÄ»ØÌû
Ïà¹Ø°æ¿éÌø×ª ÎÒÒª¶©ÔÄÂ¥Ö÷ lyiheart µÄÖ÷Ìâ¸üÐÂ
×î¾ßÈËÆøÈÈÌûÍÆ¼ö [²é¿´È«²¿] ×÷Õß »Ø/¿´ ×îºó·¢±í
[¿¼ÑÐ] È˹¤ÖÇÄÜ320µ÷¼Á08¹¤À໹Óлú»áÂð +16 Õñ¡ªTZ 2026-04-10 17/850 2026-04-14 00:50 by Íõ¬Bè±
[¿¼ÑÐ] 279Çóµ÷¼Á +11 ÕÅ·¬ÇѲ»³´µ° 2026-04-11 11/550 2026-04-13 22:25 by zhq0425
[¿¼ÑÐ] »¯Ñ§070300 Çóµ÷¼Á +21 ¹þ¹þ¹þ^_^ 2026-04-12 21/1050 2026-04-13 21:36 by nxybio2007
[¿¼ÑÐ] ÉúÎïѧ308·ÖÇóµ÷¼Á£¨Ò»Ö¾Ô¸»ª¶«Ê¦´ó£©½ÓÊÜ¿çרҵ +8 ÏàÐűػá¹ââÍòÕ 2026-04-13 8/400 2026-04-13 20:26 by biomen
[¿¼ÑÐ] 266µ÷¼Á +10 daya sun 2026-04-07 11/550 2026-04-13 10:12 by fenglj492
[¿¼ÑÐ] ҩѧÇóµ÷¼Á +3 RussHu 2026-04-12 4/200 2026-04-12 17:49 by ³ÂƤƤ
[¿¼ÑÐ] 267Çóµ÷¼Á +8 ÔÙæҲҪ³Ô·¹°¡ 2026-04-09 8/400 2026-04-11 21:42 by cfdbai
[¿¼ÑÐ] 303Çóµ÷¼Á +14 SereinQ 2026-04-10 15/750 2026-04-11 20:43 by À¶ÔÆË¼Óê
[¿¼ÑÐ] 284Çóµ÷¼Á +11 archer.. 2026-04-09 12/600 2026-04-11 20:23 by À¶ÔÆË¼Óê
[¿¼ÑÐ] 296Çóµ÷¼Á +6 Íô£¡£¿£¡ 2026-04-09 6/300 2026-04-11 11:25 by zhq0425
[¿¼ÑÐ] »¯Ñ§308·ÖÇóµ÷¼Á +22 ÄãºÃÃ÷ÌìÄãºÃ 2026-04-07 24/1200 2026-04-11 11:14 by ChemPharm
[¿¼ÑÐ] 0854µ÷¼Á +5 ÒôÏñµêÌý»¨¹ÄÏ· 2026-04-10 5/250 2026-04-11 10:49 by qingpingzhu
[¿¼ÑÐ] ¹¤¿Æ273µ÷¼Á +6 X1999 2026-04-09 7/350 2026-04-11 10:23 by zhq0425
[¿¼ÑÐ] ²ÄÁÏÀà284µ÷¼Á +40 Ïë»»ÊÖ»ú²»Ïë½âÊ 2026-04-08 48/2400 2026-04-10 23:28 by 314126402
[¿¼ÑÐ] µ÷¼Á +12 ¾í¾í¾íÐIJË_ 2026-04-09 13/650 2026-04-10 22:36 by Ftglcn90
[¿¼ÑÐ] 289 ·Ö105500ҩѧר˶Çóµ÷¼Á(ÕÒBÇøÑ§Ð£) +6 °×ÔÆ123456789 2026-04-09 8/400 2026-04-10 21:13 by zhouxiaoyu
[¿¼ÑÐ] 085404 298·ÖÇóµ÷¼Á +10 ºôÀ²ºôÀ²ºôºôºô 2026-04-10 11/550 2026-04-10 16:44 by wangy0907
[¿¼ÑÐ] Ò»Ö¾Ô¸»ªÄÏʦ·¶´óѧ0702ÎïÀíѧ305µ÷¼Á +4 Äî³£°² 2026-04-07 6/300 2026-04-08 22:53 by bljnqdcc
[¿¼ÑÐ] 388Çóµ÷¼Á +6 ËÄ´¨ÍõÌÎ 2026-04-07 8/400 2026-04-08 00:17 by JourneyLucky
[¿¼ÑÐ] ר˶085403£¬291·Ö£¬ÓÐÁ½Æª×¨Àû£¬Ò»¹úÒ»½± +3 ¹þ¼ªßä¹þ¼ªßä 2026-04-07 3/150 2026-04-07 18:21 by À¶ÔÆË¼Óê
ÐÅÏ¢Ìáʾ
ÇëÌî´¦ÀíÒâ¼û