| 查看: 746 | 回复: 0 | ||
[求助]
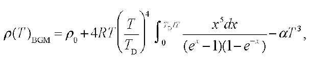
请问如何对定积分上下限中有自变量的函数进行拟合?
|
|
之前尝试用quadl或integral构建定积分,发现其上下限似乎不能是数组,但由于我要进行拟合,所以自变量必然是数组。 请问如何能构建一个上下限为数组的定积分?或者如何对定积分上下限中有自变量的函数进行拟合? 要拟合的函数具体是这样的: 请各位大神赐教,谢谢! |
» 猜你喜欢
退学或坚持读
已经有25人回复
遇见不省心的家人很难过
已经有13人回复
博士延得我,科研能力直往上蹿
已经有4人回复
免疫学博士有名额,速联系
已经有14人回复
面上基金申报没有其他的参与者成吗
已经有4人回复
多组分精馏求助
已经有6人回复
找到一些相关的精华帖子,希望有用哦~
求助大神,关于1stopt带积分的函数拟合
已经有7人回复
关于线性的定义问题
已经有5人回复
用含有定积分的隐函数拟合数据,matlab或者origin
已经有18人回复
exp(-|x|)求导
已经有7人回复
误差函数的定积分存在解析解吗?
已经有10人回复
求教一个表达式的积分???exp(-x^2)
已经有5人回复
求ORIGIN拟合包含隐函数的定积分方法
已经有6人回复
科研从小木虫开始,人人为我,我为人人













回复此楼
点击这里搜索更多相关资源