| 查看: 548 | 回复: 0 | |
xgj2008best至尊木虫 (知名作家)
|
[求助]
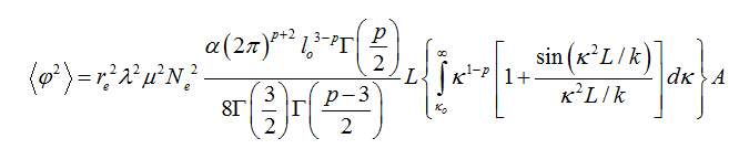
求帮忙 化简数学公式
|
|
|
|
|
找到一些相关的精华帖子,希望有用哦~
科研从小木虫开始,人人为我,我为人人
|













回复此楼
点击这里搜索更多相关资源