版块导航
正在加载中...
客户端APP下载
登录
注册
帖子
帖子
用户
本版
应《网络安全法》要求,自2017年10月1日起,未进行实名认证将不得使用互联网跟帖服务。为保障您的帐号能够正常使用,请尽快对帐号进行手机号验证,感谢您的理解与支持!
24小时热门版块排行榜
>
论坛更新日志
(2173)
>
虫友互识
(111)
>
导师招生
(61)
>
休闲灌水
(59)
>
文献求助
(49)
>
考博
(29)
>
仿真模拟
(28)
>
基金申请
(26)
>
论文投稿
(23)
>
硕博家园
(18)
>
博后之家
(16)
>
论文道贺祈福
(13)
>
找工作
(13)
>
考研
(13)
>
公派出国
(10)
>
教师之家
(9)
小木虫论坛-学术科研互动平台
»
材料区
»
复合材料
»
交流互助
»
求助帮忙分析
3
1/1
返回列表
查看: 409 | 回复: 2
只看楼主
@他人
存档
新回复提醒
(忽略)
收藏
在APP中查看
hjjzbs
新虫
(初入文坛)
应助: 0
(幼儿园)
金币: 24.8
帖子: 8
在线: 9.4小时
虫号: 1658247
注册: 2012-03-02
专业: 功能与智能高分子
[
求助
]
求助帮忙分析
已有2人参与
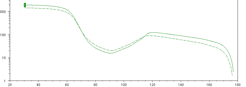
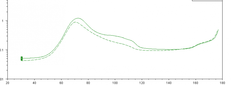
想通过DMA分析复合材料韧性的提高,求教,主要是通过储能模量、损耗模量还是正切值呢?
O`U(3JC]B_(V1P2UXYEA4R5.png
{@U}Z(LZ@K707C6O{A2R99S.png
回复此楼
» 猜你喜欢
西京学院-结构工程-2026研究生调剂
已经有0人回复
上海海事大学“安全科学与工程”一级学科硕士学位授予点尚有部分缺额
已经有0人回复
建筑环境与结构工程论文润色/翻译怎么收费?
已经有171人回复
西京学院-结构工程-2026研究生调剂
已经有0人回复
【广州】仲恺农业工程学院城乡建设学院土木水利专业硕士招大量调剂,线上复试
已经有0人回复
【广州】仲恺农业工程学院城乡建设学院土木水利专业硕士招大量调剂,线上复试
已经有0人回复
上海海事大学安全科学与工程学科有部分名额,欢迎调剂
已经有0人回复
土木考研调剂-08开头和计算机专业+V:18173116706
已经有0人回复
【广州】仲恺农业工程学院城乡建设学院土木水利专业硕士招大量调剂,线上复试
已经有0人回复
【广州】仲恺农业工程学院城乡建设学院土木水利专业硕士招大量调剂,线上复试
已经有0人回复
广西大学土木博士招生
已经有5人回复
» 本主题相关商家推荐:
(我也要在这里推广)
» 本主题相关价值贴推荐,对您同样有帮助:
大家帮忙分析一下这两个态密度的区别
已经有9人回复
求助帮忙做个多元线性回归的分析spss,R均可
已经有4人回复
[求助]PCR后跑胶结果如图,请大家帮忙分析一下,谢谢各位
已经有4人回复
帮忙分析一下电镜照片
已经有6人回复
求助分析电泳图
已经有9人回复
帮忙分析SDSPAGE问题
已经有5人回复
求帮忙分析下EIS
已经有6人回复
帮忙分析下拓扑结构啊
已经有23人回复
【求助】请求帮忙分析纳米银合成过程的一个现象
已经有18人回复
帮忙分析一个HR-TEM图!
已经有11人回复
想查看自己的账户和密码,帮忙分析一下这是什么情况?
已经有11人回复
求助帮忙LD50值的计算
已经有11人回复
帮忙分析一下XRD图中,聚合物的结晶度
已经有6人回复
大家帮忙分析下PVA 的红外图各个峰分别属于哪个官能团。
已经有12人回复
刚投就被拒稿,请高手帮忙分析一下
已经有18人回复
【求助】帮忙分析分析TG/DSC图谱
已经有14人回复
【求助】帮忙分析W-Ni-Fe合金SEM照片
已经有10人回复
【求助】帮忙分析一下我的错误【已完结】
已经有6人回复
【求助】帮忙分析下I-V曲线
已经有26人回复
【求助】求人帮忙分析一下xps C 1s谱图
已经有11人回复
【求助】请各位帮忙分析下磁性分析
已经有10人回复
1楼
2015-03-30 13:31:31
已阅
回复此楼
关注TA
给TA发消息
送TA红花
TA的回帖
荪夏英
新虫
(初入文坛)
应助: 0
(幼儿园)
金币: 300.1
帖子: 13
在线: 9.8小时
虫号: 3931050
注册: 2015-06-18
性别: GG
专业: 自动化
【答案】应助回帖
损耗模量可以粗略反应材料的韧性!
赞
一下
回复此楼
2楼
2015-06-18 20:52:05
已阅
回复此楼
关注TA
给TA发消息
送TA红花
TA的回帖
newschen
木虫
(正式写手)
应助: 233
(大学生)
金币: 1885.4
红花: 29
帖子: 863
在线: 144.4小时
虫号: 3557250
注册: 2014-11-24
性别: GG
专业: 聚合物共混与复合材料
【答案】应助回帖
应用冲击后压缩强度(CAI)来考核其耐面外冲击的韧性。层间断裂韧度可以衡量层间断裂韧性。
赞
一下
回复此楼
3楼
2015-06-18 23:01:15
已阅
回复此楼
关注TA
给TA发消息
送TA红花
TA的回帖
相关版块跳转
材料综合
材料工程
微米和纳米
晶体
金属
无机非金属
生物材料
功能材料
复合材料
我要订阅楼主
hjjzbs
的主题更新
3
1/1
返回列表
如果回帖内容含有宣传信息,请如实选中。否则帐号将被全论坛禁言
普通表情
龙
兔
虎
猫
百度网盘
|
360云盘
|
千易网盘
|
华为网盘
在新窗口页面中打开自己喜欢的网盘网站,将文件上传后,然后将下载链接复制到帖子内容中就可以了。
信息提示
关闭
请填处理意见
关闭
确定