| ²é¿´: 2633 | »Ø¸´: 0 | |||
shepherd2014½ð³æ (СÓÐÃûÆø)
|
[ÇóÖú]
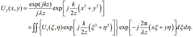
¸µÀïÒ¶¹âѧMATLAB·ÂÕæµÄÎÊÌâ
|
source | matlab |
» ²ÂÄãϲ»¶
265Çóµ÷¼Á
ÒѾÓÐ6È˻ظ´
²ÄÁÏÇóµ÷¼Á
ÒѾÓÐ13È˻ظ´
Ò»Ö¾Ô¸Ö£ÖÝ´óѧ²ÄÁÏÓ뻯¹¤085600£¬Çóµ÷¼Á
ÒѾÓÐ26È˻ظ´
070300»¯Ñ§279Çóµ÷¼Á
ÒѾÓÐ18È˻ظ´
²ÄÁϵ÷¼Á
ÒѾÓÐ8È˻ظ´
»¯¹¤Çóµ÷¼Á£¡
ÒѾÓÐ6È˻ظ´
290Çóµ÷¼Á085701
ÒѾÓÐ11È˻ظ´
085600²ÄÁÏÓ뻯¹¤×¨Ë¶329 Çóµ÷¼Á
ÒѾÓÐ6È˻ظ´
295Çóµ÷¼Á
ÒѾÓÐ15È˻ظ´
Ò»Ö¾Ô¸ºÓ±±¹¤Òµ´óѧ²ÄÁϹ¤³Ì£¬³õÊÔ344Çóר˶µ÷¼Á
ÒѾÓÐ6È˻ظ´
ÕÒµ½Ò»Ð©Ïà¹ØµÄ¾«»ªÌû×Ó£¬Ï£ÍûÓÐÓÃŶ~
¹ØÓÚ¸µÀûÒ¶±ä»»
ÒѾÓÐ6È˻ظ´
¹ØÓÚͼÏñ¸µÀïÒ¶±ä»»µÄÀí½âµÄÎÊÌâ
ÒѾÓÐ11È˻ظ´
matlabÖеÄfftºÍifft
ÒѾÓÐ9È˻ظ´
¹âѧ¸µÀïÒ¶±ä»»
ÒѾÓÐ3È˻ظ´
ÈçºÎÓÃMatlab¶Ôº¯Êýsin(pi*t)/(pi*t)½øÐÐFFT±ä»»
ÒѾÓÐ5È˻ظ´
Çë½Ì¸ömatlabÖÐfft(X,n)£¬¹ØÓÚnȡֵµÄÎÊÌâ
ÒѾÓÐ7È˻ظ´
Çó¾È, ÓÃMatlab fft×÷¹âѧ·ÂÕæ
ÒѾÓÐ11È˻ظ´
MatlabƵÓò·ÖÎö FFTÎÊÌâÇóÖú
ÒѾÓÐ6È˻ظ´
ÀûÓÃmatlab½øÐиµÀïÒ¶±ä»»Ê±£¬fftº¯Êý²»ÐèÒªÊäÈë͸¾µ½¹¾à
ÒѾÓÐ6È˻ظ´
¹ØÓÚ¼¤¹âÆ÷matlab³ÌÐò
ÒѾÓÐ5È˻ظ´
Çó½Ìmatlab¸µÀïÒ¶±ä»»Çó½â
ÒѾÓÐ5È˻ظ´
¸µÀïÒ¶¹âѧµ¼ÂÛ Ï°ÌâÓ¢ÎĽâ´ð
ÒѾÓÐ65È˻ظ´
¡¾¿Îºó´ð°¸¡¿¸µÀïÒ¶¹âѧ£º¸ÅÄî•Ìâ½â ÂÀÄ˹âÖø
ÒѾÓÐ73È˻ظ´
¡¾ZEMAX Èí¼þ¡¿¹âѧϵͳÉè¼ÆÊµÑ鱨¸æ
ÒѾÓÐ63È˻ظ´
¸µÀïÒ¶¹âѧ ϵÁн̲Ä
ÒѾÓÐ287È˻ظ´
¹ØÓÚ¸µÀïÒ¶¹âѧÖÐµÄ 4f ϵͳ µÄ²»½â¡£¡£¡£¡£
ÒѾÓÐ6È˻ظ´
±¾°æ¿ÉÓгæ×ÓÔ¸ÒâÕûÀí×ÊÔ´Ìû×Ó
ÒѾÓÐ14È˻ظ´
¡¾ÇóÖú¡¿½ô¼±ÇóÖú£ºÈý½Çº¯ÊýµÄ¸µÀïÒ¶±ä»»
ÒѾÓÐ14È˻ظ´
¿ÆÑдÓСľ³æ¿ªÊ¼£¬ÈËÈËΪÎÒ£¬ÎÒΪÈËÈË














»Ø¸´´ËÂ¥

µã»÷ÕâÀïËÑË÷¸ü¶àÏà¹Ø×ÊÔ´