版块导航
正在加载中...
客户端APP下载
论文辅导
申博辅导
登录
注册
帖子
帖子
用户
本版
应《网络安全法》要求,自2017年10月1日起,未进行实名认证将不得使用互联网跟帖服务。为保障您的帐号能够正常使用,请尽快对帐号进行手机号验证,感谢您的理解与支持!
24小时热门版块排行榜
>
论坛更新日志
(3680)
>
文献求助
(425)
>
虫友互识
(355)
>
导师招生
(200)
>
硕博家园
(121)
>
休闲灌水
(84)
>
考博
(77)
>
论文投稿
(69)
>
基金申请
(54)
>
招聘信息布告栏
(48)
>
博后之家
(48)
>
教师之家
(44)
>
绿色求助(高悬赏)
(35)
>
公派出国
(32)
>
考研
(29)
>
论文道贺祈福
(24)
小木虫论坛-学术科研互动平台
»
材料区
»
无机非金属
»
材料测试
»
变温磁化率测试
4
1/1
返回列表
查看: 2148 | 回复: 3
只看楼主
@他人
存档
新回复提醒
(忽略)
收藏
在APP中查看
hinyy
新虫
(初入文坛)
应助: 0
(幼儿园)
金币: 678.5
帖子: 10
在线: 3.1小时
虫号: 610948
注册: 2008-09-23
[
求助
]
变温磁化率测试
已有1人参与
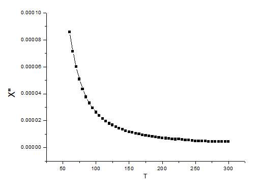
请求各位有经验的虫友看看我这个变温磁化率测试图,不会分析,第一次测试。是原始数据,还没有除以薄膜质量。万分感谢
x1.jpg
x11.jpg
回复此楼
» 猜你喜欢
博士读完未来一定会好吗
已经有15人回复
心脉受损
已经有4人回复
Springer期刊投稿求助
已经有4人回复
读博
已经有3人回复
小论文投稿
已经有3人回复
Bioresource Technology期刊,第一次返修的时候被退回好几次了
已经有9人回复
到新单位后,换了新的研究方向,没有团队,持续积累2区以上论文,能申请到面上吗
已经有8人回复
申请2026年博士
已经有6人回复
请问哪里可以有青B申请的本子可以借鉴一下。
已经有5人回复
» 本主题相关价值贴推荐,对您同样有帮助:
大家好,关于活性炭通过VSM测定样品磁滞回线后怎么计算比磁化率的问题。
已经有6人回复
测了一个交流变频磁化率曲线,求高手帮忙看下,附了图,金币不多,非常感激!
已经有35人回复
关于测量交流磁化率的问题
已经有4人回复
请帮忙变温磁化率曲线数据分析
已经有9人回复
M-T 曲线测试加多大磁场?
已经有5人回复
磁性材料,TEM
已经有8人回复
磁化率数据处理和居里外斯曲线拟合
已经有6人回复
求助,交流磁化率数据处理
已经有11人回复
永磁材料居里温度测量
已经有8人回复
晶体直流磁化率说明是铁磁性的,但是测试交流磁化率的时候又没有频率依赖
已经有3人回复
急求一个晶体磁性质问题,回复文章的修改意见!!!!!
已经有3人回复
双核铜(II)配合物变温磁化率XmT在300K时为1.5cm3·K/mol正确吗
已经有28人回复
变温磁化率的计算
已经有5人回复
M-T,M-H曲线的分析
已经有6人回复
交流磁化率测量的频率
已经有16人回复
Co(II)配位聚合物
已经有11人回复
VSM的图怎么是这样的啊,不仅不是回线,饱和磁强度也太低了吧,(质量为0.1g左右)
已经有9人回复
【求助】测量的磁矩偏大
已经有16人回复
【求助】求做 VSM 振动样品磁强计 磁滞回线 比饱和磁化强度
已经有13人回复
关于磁性测试
已经有18人回复
1楼
2015-02-07 16:15:04
已阅
回复此楼
关注TA
给TA发消息
送TA红花
TA的回帖
guxue
专家顾问
(知名作家)
学习使人进步
专家经验: +1780
IN-EPI: 14
应助: 2370
(讲师)
贵宾: 1.086
金币: 40612.9
散金: 102
红花: 158
帖子: 6480
在线: 609.6小时
虫号: 538944
注册: 2008-04-03
专业: 无机非金属类光电信息与功
管辖:
无机非金属
【答案】应助回帖
★ ★ ★ ★ ★
感谢参与,应助指数 +1
hinyy: 金币+3,
★★★
很有帮助
2015-05-28 14:16:34
hinyy: 金币+2
2015-05-28 14:16:54
随温度波动较大,居里温度在100度左右。100度以上都应该为零。
赞
一下
回复此楼
青出于蓝而胜于蓝
2楼
2015-02-08 07:48:35
已阅
回复此楼
关注TA
给TA发消息
送TA红花
TA的回帖
suixindjy
新虫
(初入文坛)
应助: 0
(幼儿园)
金币: 14
帖子: 14
在线: 2.4小时
虫号: 3709751
注册: 2015-03-04
怎么是两张图啊?第一张图片明显是没有减去背景的磁化率也就是玻璃管的磁化率。第二张图片貌似是处理过的了。答题说明薄膜中存在很弱的磁性物质,但是很容易随温度而分解。主要得看你的薄膜的主要成分了。
赞
一下
回复此楼
3楼
2015-06-04 15:25:57
已阅
回复此楼
关注TA
给TA发消息
送TA红花
TA的回帖
b-elegant
新虫
(正式写手)
应助: 0
(幼儿园)
金币: 3488.4
散金: 1800
帖子: 730
在线: 171.7小时
虫号: 1466841
注册: 2011-10-29
专业: 凝聚态物性I:结构、力学和
你在哪做的检测啊
赞
一下
回复此楼
4楼
2016-05-09 20:41:32
已阅
回复此楼
关注TA
给TA发消息
送TA红花
TA的回帖
相关版块跳转
材料综合
材料工程
微米和纳米
晶体
金属
无机非金属
生物材料
功能材料
复合材料
我要订阅楼主
hinyy
的主题更新
4
1/1
返回列表
如果回帖内容含有宣传信息,请如实选中。否则帐号将被全论坛禁言
普通表情
龙
兔
虎
猫
百度网盘
|
360云盘
|
千易网盘
|
华为网盘
在新窗口页面中打开自己喜欢的网盘网站,将文件上传后,然后将下载链接复制到帖子内容中就可以了。
信息提示
关闭
请填处理意见
关闭
确定