版块导航
正在加载中...
客户端APP下载
论文辅导
申博辅导
登录
注册
帖子
帖子
用户
本版
应《网络安全法》要求,自2017年10月1日起,未进行实名认证将不得使用互联网跟帖服务。为保障您的帐号能够正常使用,请尽快对帐号进行手机号验证,感谢您的理解与支持!
24小时热门版块排行榜
>
论坛更新日志
(490)
>
虫友互识
(38)
>
导师招生
(14)
>
论文道贺祈福
(12)
>
休闲灌水
(9)
>
基金申请
(4)
>
招聘信息布告栏
(3)
>
考博
(3)
>
博后之家
(2)
>
硕博家园
(2)
>
论文投稿
(2)
>
晶体
(1)
>
外文书籍求助
(1)
>
教师之家
(1)
>
催化
(1)
>
找工作
(1)
小木虫论坛-学术科研互动平台
»
生物医药区
»
药学
»
天然药物化学
»
这三个物质是什么?请教~
3
1/1
返回列表
查看: 353 | 回复: 2
只看楼主
@他人
存档
新回复提醒
(忽略)
收藏
在APP中查看
杨文松帅
木虫
(正式写手)
应助: 21
(小学生)
金币: 3198.2
散金: 102
帖子: 848
在线: 118.9小时
虫号: 2699634
注册: 2013-10-05
专业: 天然药物化学
[
求助
]
这三个物质是什么?请教~
已有1人参与
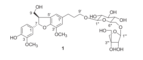
它们属于哪一类化合物~萜类?黄酮?挥发油?
$B@N`YWH6W$2M%O{IJ_H3]C.png
@P8MXJ1(Q@1SG4MH~GRADSX.png
D8F%S5A1H7U][494$ZC_93S.png
回复此楼
» 猜你喜欢
有时候真觉得大城市人没有县城人甚至个体户幸福
已经有9人回复
CSC & MSCA 博洛尼亚大学能源材料课题组博士/博士后招生|MSCA经费充足、排名优
已经有6人回复
天津大学招2026.09的博士生,欢迎大家推荐交流(博导是本人)
已经有4人回复
同年申请2项不同项目,第1个项目里不写第2个项目的信息,可以吗
已经有3人回复
退学或坚持读
已经有28人回复
面上项目申报
已经有3人回复
酰胺脱乙酰基
已经有9人回复
博士延得我,科研能力直往上蹿
已经有7人回复
面上基金申报没有其他的参与者成吗
已经有5人回复
遇见不省心的家人很难过
已经有22人回复
» 本主题相关价值贴推荐,对您同样有帮助:
请教各位大神,抗菌,抑菌,杀菌这三个概念的区别
已经有7人回复
请教大家有机物结构式,中括号是什么意思?
已经有6人回复
请教高人这个物质是酸碱性?
已经有13人回复
有机菜鸟请教下面三个物质的CAS号
已经有7人回复
请教这几个单位是什么单位?u、aum、D
已经有7人回复
请教大家一点有关物质方法学方面的问题
已经有13人回复
核磁波谱分析求助
已经有4人回复
请教“甲基氯硅烷、甲基氯硅烷混合单体、甲基氯硅烷单体”是否为同一物质?
已经有8人回复
这个核磁数据是什么意思
已经有13人回复
请教大家:两种物质用TLC检测,Rf值一样,该怎么分离啊?
已经有20人回复
请教三个物质的亲核性
已经有9人回复
物质和能量(原创)
已经有14人回复
请教关于方法学验证的相关问题
已经有14人回复
请教几个概念,金属间的化合物\合金\金属互化物
已经有12人回复
两种有机物质分离
已经有6人回复
【求助】请教一个固体物理的问题
已经有15人回复
请教,计算O在某种氧化物的表面扩散激活能为2.5-3.0eV,是不是太大了?
已经有3人回复
请教一下画三角相图的时候,用的是物质的量分数还是质量分数啊?
已经有8人回复
请教化学位移值6.2的三个活泼氢的钝峰是什么?
已经有5人回复
能帮忙分析下这是个什么类型的物质,官能团?谢谢!
已经有7人回复
【求助】请教一组有机化合物的酸性大小比较?
已经有3人回复
【求助】请教各位,知道几种物质的缩写,不知道具体的物质是什么
已经有4人回复
【请教】怎么通过XRD图谱判断是什么物质
已经有14人回复
【求助】帮忙描述一下三个小分子化合物,只有一维核磁图!
已经有7人回复
【求助】请教氨三乙酸是有机物吗?
已经有13人回复
只是擦伤
1楼
2015-01-23 20:31:44
已阅
回复此楼
关注TA
给TA发消息
送TA红花
TA的回帖
yangyinhe
至尊木虫
(著名写手)
应助: 1566
(讲师)
金币: 15048.4
红花: 21
帖子: 2773
在线: 261.2小时
虫号: 942922
注册: 2010-01-15
性别:
MM
专业: 天然有机化学
【答案】应助回帖
★ ★ ★ ★ ★
感谢参与,应助指数 +1
杨文松帅: 金币+5,
★★★★★
最佳答案
2015-01-23 20:41:35
从结构来看,属于木质素,都是苯丙素单元的聚合物
赞
一下
(1人)
回复此楼
2楼
2015-01-23 20:34:58
已阅
回复此楼
关注TA
给TA发消息
送TA红花
TA的回帖
sky8923
铁杆木虫
(正式写手)
应助: 11
(小学生)
金币: 9713.4
散金: 100
红花: 3
帖子: 457
在线: 208.6小时
虫号: 736696
注册: 2009-03-31
性别: GG
专业: 有机化学
应该叫木脂素。木质素是多聚苯丙素。8应该算是倍半木质素,或是降倍半木脂素。
赞
一下
(1人)
回复此楼
3楼
2015-01-24 15:42:22
已阅
回复此楼
关注TA
给TA发消息
送TA红花
TA的回帖
相关版块跳转
新药研发
药学
药品生产
分子生物
微生物
动植物
生物科学
医学
我要订阅楼主
杨文松帅
的主题更新
3
1/1
返回列表
如果回帖内容含有宣传信息,请如实选中。否则帐号将被全论坛禁言
普通表情
龙
兔
虎
猫
百度网盘
|
360云盘
|
千易网盘
|
华为网盘
在新窗口页面中打开自己喜欢的网盘网站,将文件上传后,然后将下载链接复制到帖子内容中就可以了。
信息提示
关闭
请填处理意见
关闭
确定