| ²é¿´: 1079 | »Ø¸´: 6 | ||
qk1980106½ð³æ (³õÈëÎÄ̳)
|
[ÇóÖú]
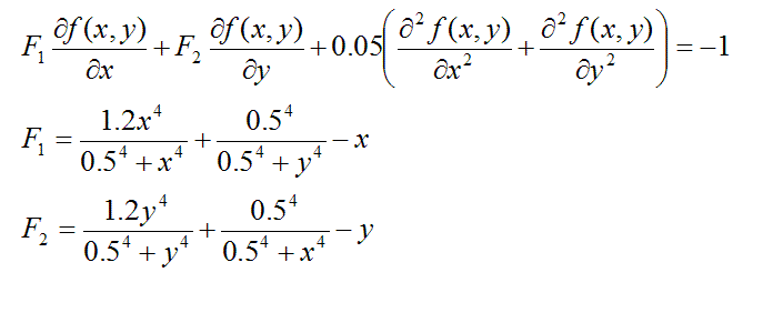
ÇóÖú¸÷λ³æÓÑ£¬ÄÜ·ñÓÃNDSolve½â¾öÕâ¸ö¶þ½×·ÇÏßÐÔÆ«Î¢·Ö·½³Ì»òÕ߯äËû·½·¨ÈçºÎ½â£¿ ÒÑÓÐ1È˲ÎÓë
|
|
ÒÑÖªx,yµÄ±ä»¯·¶Î§¶¼ÊÇ(0,3)£¬f(2.4,0)=0,±ß½çÌõ¼þΪreflecting boundary condition£¬Çóf(1.2,1.2)=? 1_¿´Í¼Íõ_¿´Í¼Íõ.gif |
» ²ÂÄãϲ»¶
270Çóµ÷¼Á
ÒѾÓÐ8È˻ظ´
211±¾¿Æ²ÄÁÏ»¯¹¤Çóµ÷¼Á
ÒѾÓÐ6È˻ظ´
Çóµ÷¼Á
ÒѾÓÐ10È˻ظ´
Çóµ÷¼Á
ÒѾÓÐ11È˻ظ´
272·Ö²ÄÁÏ×ÓÇóµ÷¼Á
ÒѾÓÐ43È˻ظ´
271Çóµ÷¼Á
ÒѾÓÐ13È˻ظ´
283Çóµ÷¼Á 086004¿¼Ó¢¶þÊý¶þ
ÒѾÓÐ16È˻ظ´
085410 273·Öµ÷¼Á
ÒѾÓÐ4È˻ظ´
Ò»Ö¾Ô¸Ïôó0856£¬306Çóµ÷¼Á
ÒѾÓÐ3È˻ظ´
304Çóµ÷¼Á£¨085602£¬¹ýËļ¶£¬Ò»Ö¾Ô¸985£©
ÒѾÓÐ28È˻ظ´
» ±¾Ö÷ÌâÏà¹Ø¼ÛÖµÌùÍÆ¼ö£¬¶ÔÄúͬÑùÓаïÖú:
¶þ½×·ÇÏßÐÔÆ«Î¢·Ö·½³ÌÈçºÎ½â£¿
ÒѾÓÐ4È˻ظ´
΢·Ö·½³ÌµÄÊýÖµ½âÇó·¨
ÒѾÓÐ3È˻ظ´
ÇóÈçºÎÓÃmathematicaºÍmatlab»Æ«Î¢·Öͼ
ÒѾÓÐ8È˻ظ´
xzczd
ľ³æ (СÓÐÃûÆø)
- Ó¦Öú: 72 (³õÖÐÉú)
- ½ð±Ò: 1941.4
- ºì»¨: 11
- Ìû×Ó: 290
- ÔÚÏß: 144.2Сʱ
- ³æºÅ: 3305534
- ×¢²á: 2014-07-03

2Â¥2015-01-15 13:05:30
qk1980106
½ð³æ (³õÈëÎÄ̳)
- Ó¦Öú: 0 (Ó×¶ùÔ°)
- ½ð±Ò: 1342.6
- Ìû×Ó: 31
- ÔÚÏß: 32.4Сʱ
- ³æºÅ: 811625
- ×¢²á: 2009-07-19
- ÐÔ±ð: GG
- רҵ: »ù´¡ÎïÀíѧ
|
¿ÉÄÜͼ´ò²»¿ª£¬ÎÒ°Ñ·½³ÌÓÃmathematica´úÂëдÔÚÏ·½£º ÒªÇó½âµÄ·½³ÌÊÇ£º F1*\!\(\*SubscriptBox[\(\[PartialD]\), \(x\)]\(f[x, y]\)\) + F2*\!\( \*SubscriptBox[\(\[PartialD]\), \(y\)]\(f[x, y]\)\) + 0.05*(\!\( \*SubscriptBox[\(\[PartialD]\), \(x, x\)]\(f[x, y]\)\) + \!\( \*SubscriptBox[\(\[PartialD]\), \(y, y\)]\(f[x, y]\)\)) == -1 ÆäÖÐF1Ϊ£ºF1 = 1.2*x^4/(0.5^4 + x^4) + 0.5^4/(0.5^4 + y^4) - x£» F2Ϊ£ºF2 = 1.2*y^4/(0.5^4 + y^4) + 0.5^4/(0.5^4 + x^4) - y ÆäËûÌõ¼þ£ºÒÑÖªx,yµÄ±ä»¯·¶Î§¶¼ÊÇ(0,3)£¬f(2.4,0)=0,£¬Çóf(1.2,1.2)=? Ôڵ㣨2.4£¬0£©ºÍ£¨1.2£¬1.2£©´¦Îªabsorbing boundary condition£¬ÆäËûµã´¦Îªreflecting boundary condition |
3Â¥2015-01-15 14:51:26
xzczd
ľ³æ (СÓÐÃûÆø)
- Ó¦Öú: 72 (³õÖÐÉú)
- ½ð±Ò: 1941.4
- ºì»¨: 11
- Ìû×Ó: 290
- ÔÚÏß: 144.2Сʱ
- ³æºÅ: 3305534
- ×¢²á: 2014-07-03

4Â¥2015-01-15 15:18:21
qk1980106
½ð³æ (³õÈëÎÄ̳)
- Ó¦Öú: 0 (Ó×¶ùÔ°)
- ½ð±Ò: 1342.6
- Ìû×Ó: 31
- ÔÚÏß: 32.4Сʱ
- ³æºÅ: 811625
- ×¢²á: 2009-07-19
- ÐÔ±ð: GG
- רҵ: »ù´¡ÎïÀíѧ
|
·Ç³£¸ÐлÄãµÄ¿ìËٻظ´£¬ÏÂÃæÊÇÎÄÏ×ÀïµÄÔʼÃèÊö£º It is essentially the average time£¨¼´ÎªÒªÇóµÄº¯Êýf) it takes from a initial position to reach a given final position.The equation can be solved by an absorbing boundary condition at the given site and reflecting boundary conditions for the rest. |
5Â¥2015-01-15 15:27:39
xzczd
ľ³æ (СÓÐÃûÆø)
- Ó¦Öú: 72 (³õÖÐÉú)
- ½ð±Ò: 1941.4
- ºì»¨: 11
- Ìû×Ó: 290
- ÔÚÏß: 144.2Сʱ
- ³æºÅ: 3305534
- ×¢²á: 2014-07-03
¡¾´ð°¸¡¿Ó¦Öú»ØÌû
¡ï ¡ï ¡ï ¡ï ¡ï ¡ï ¡ï ¡ï ¡ï ¡ï
qk1980106: ½ð±Ò+10, ¡ïÓаïÖú, ·Ç³£¸ÐлÄãµÄ»Ø¸´£¬ÎÒ²»ÖªµÀÎÄÏ×µÄ×÷ÕßÊÇÔõô½âµÄ£¬¾ÍÊÇÏëÎÊÎÊ´ó¼ÒÓÐûʲôºÃ·½·¨ 2015-01-15 15:51:12
qk1980106: ½ð±Ò+10, ¡ïÓаïÖú, ·Ç³£¸ÐлÄãµÄ»Ø¸´£¬ÎÒ²»ÖªµÀÎÄÏ×µÄ×÷ÕßÊÇÔõô½âµÄ£¬¾ÍÊÇÏëÎÊÎÊ´ó¼ÒÓÐûʲôºÃ·½·¨ 2015-01-15 15:51:12
|
¡¡Ö»ÓÐÕâôһµãÃèÊöʵÔÚºÜÄѴ𣬲»¹ý»ù±¾¿ÉÒÔÈÏΪÄã¶ÔÔʼÎÊÌâÀí½âÓÐÎó¡£ËäÈ»²»ÖªµÀÕâ¸ösiteÊǸöʲô¸ÅÄµ«ËüÓ¦¸ÃÊÇÖ¸Ò»Ìõ¡°Ïß¡±£¬¾ø²»»áÊÇÒ»¸ö¡°µã¡±¡£Ä¿²âÒÀ¾ÉÊǸöÔÚËÄÌõ±ß½çÉϸø¶¨ÏÞÖÆÌõ¼þµÄ¶¨½âÎÊÌ⣬²¢ÇÒÒª½âµÄ»°¿ÖÅ»áÐèÒª°æ±¾10ÐÂÔöµÄÓÐÏÞÔªËã·¨¡£ |

6Â¥2015-01-15 15:40:36
xzczd
ľ³æ (СÓÐÃûÆø)
- Ó¦Öú: 72 (³õÖÐÉú)
- ½ð±Ò: 1941.4
- ºì»¨: 11
- Ìû×Ó: 290
- ÔÚÏß: 144.2Сʱ
- ³æºÅ: 3305534
- ×¢²á: 2014-07-03

7Â¥2015-01-15 16:18:10













»Ø¸´´ËÂ¥