| ²é¿´: 2163 | »Ø¸´: 6 | ||
gniboaix½ð³æ (СÓÐÃûÆø)
|
[ÇóÖú]
ÇóÖú£º×ö»·ÑõÊ÷Ö¬ÀÉìʵÑéʱµÃµ½ÕâÑùµÄÓ¦Á¦-Ó¦±äÇúÏßÄÜÓÃÂ𣿠ÒÑÓÐ1È˲ÎÓë
|
|
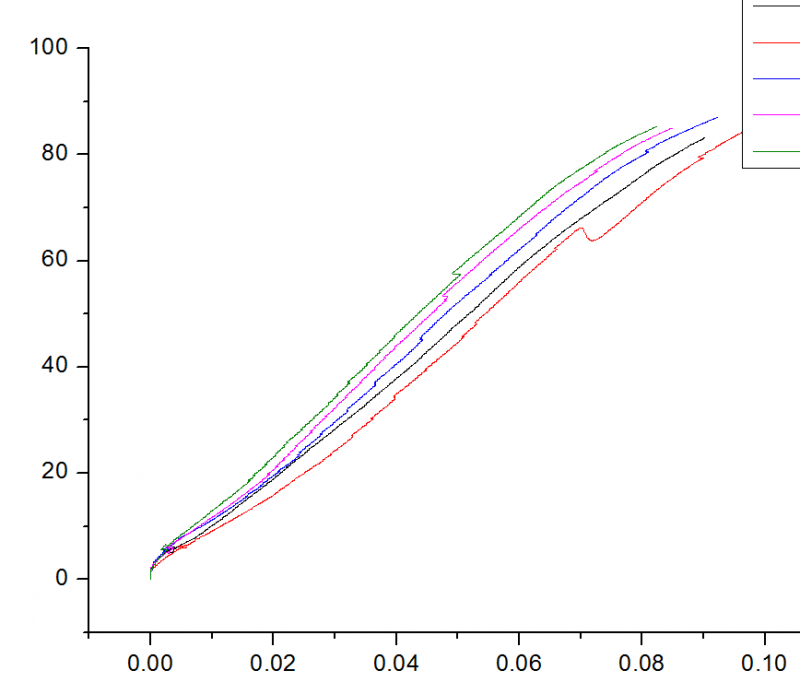
×ö»·ÑõÊ÷Ö¬ÀÉìʵÑéʱµÃµ½ÕâÑùµÄÓ¦Á¦-Ó¦±äÇúÏßÄÜÓÃÂð£¿Èç¹û´¦ÀíºóÄÜÓõϰӦÔõÑù´¦Àí£¿ http://image.keyan.cc/data/bcs/2 ... _1420716912_768.png QQͼƬ20150108101610.png |
» ²ÂÄãϲ»¶
0703»¯Ñ§Çóµ÷¼Á
ÒѾÓÐ10È˻ظ´
ר˶310Çóµ÷¼Á
ÒѾÓÐ8È˻ظ´
¿¼Ñе÷¼Á-²ÄÁÏÀà-284
ÒѾÓÐ8È˻ظ´
266Çóµ÷¼Á
ÒѾÓÐ5È˻ظ´
265Çóµ÷¼Á
ÒѾÓÐ3È˻ظ´
070300»¯Ñ§279Çóµ÷¼Á
ÒѾÓÐ10È˻ظ´
²ÄÁϹ¤³Ì085601£¬270Çóµ÷¼Á
ÒѾÓÐ16È˻ظ´
²ÄÁÏ»¯¹¤×Ü·Ö334Çóµ÷¼Á
ÒѾÓÐ7È˻ظ´
²ÄÁÏ¿¼ÑÐÇóµ÷¼Á×Ü·Ö280
ÒѾÓÐ33È˻ظ´
293·ÖÇóµ÷¼Á£¬ÍâÓïΪ¶íÓï
ÒѾÓÐ10È˻ظ´
» ±¾Ö÷ÌâÏà¹Ø¼ÛÖµÌùÍÆ¼ö£¬¶ÔÄúͬÑùÓаïÖú:
ÒѾ֪µÀ²ÄÁϵĵ¥ÏòÀÉìÓ¦Á¦Ó¦±äÇúÏߣ¬Ôõô·´ÍÆÔغÉÎ»ÒÆÇúÏߣ¿
ÒѾÓÐ5È˻ظ´
˼û¹ýÕâÑùµÄÓ¦Á¦Ó¦±äÇúÏߣ¿£¿£¿£¿£¿
ÒѾÓÐ13È˻ظ´
»·ÑõÊ÷Ö¬Ó¦Á¦Ó¦±äÇúÏß³öÏÖÆ½Ì¨
ÒѾÓÐ5È˻ظ´
vasp¼ÆËãÓ¦Á¦--Ó¦±äÇúÏßʱӦÁ¦Öµ·¢ÉúÍ»±äµÄÎÊÌâ
ÒѾÓÐ8È˻ظ´
ʵÑé²âµÄ²ÄÁϵÄÓ¦Á¦Ó¦±äÇúÏß ÏëÔÙÓÃÕâ¸öÇúÏßÔÚansys ls dyna ×öÄ£Äâ
ÒѾÓÐ10È˻ظ´
ÄÚÓ¦Á¦ÓëÓ¦±äµÄ¹ØÏµ ÇóÖú
ÒѾÓÐ11È˻ظ´
ÂÁºÏ½ðÀÉìÓ¦Á¦Ó¦±äÇúÏß¹ÖÒìÐÎ×´·ÖÎö
ÒѾÓÐ12È˻ظ´
Ó¦Á¦Ó¦±äÀÉìÇúÏߵĴ¦Àí
ÒѾÓÐ8È˻ظ´
¸ßε¥µÀ´ÎѹËõÊÔÑéºó£¬µÃµ½Ó¦Á¦Ó¦±äÇúÏߺÍÕæÓ¦Á¦Ó¦±äÇúÏß¡£
ÒѾÓÐ5È˻ظ´
ÀÉìÓ¦Á¦Ó¦±äÇúÏß
ÒѾÓÐ26È˻ظ´
Ó¦Á¦Ó¦±äÇúÏßΪʲôÊÇÕâÑùµÄ£¿
ÒѾÓÐ4È˻ظ´
¡¾ÇóÖú¡¿¸Ö²ÄÀÉìʱ£¬Ã»Óа²×°ÒýÉì¼Æ£¬µÃµ½µÄÓ¦Á¦Ó¦±äÇúÏßÄÜÐÞÕýô£¿
ÒѾÓÐ11È˻ظ´
¡¾ÇóÖú¡¿CASTEP¼ÆË㵯ÐÔ³£ÊýµÃµ½Ó¦Á¦Ó¦±äÇúÏß
ÒѾÓÐ17È˻ظ´
¡¾ÇóÖú¡¿ÈçºÎ¸ù¾ÝÓ¦Á¦Ó¦±äÇúÏߵõ½Çü·þÇ¿¶È
ÒѾÓÐ3È˻ظ´
¡¾ÌÖÂÛ¡¿ÀÉìÊÔÑéÓ¦Á¦Ó¦±äÇúÏß
ÒѾÓÐ9È˻ظ´
¡¾ÇóÖú¡¿Ó¦Á¦-Ó¦±äÇúÏß
ÒѾÓÐ5È˻ظ´
¡¾ÇóÖú¡¿ÎªÊ²Ã´´ËÀÉìÓ¦Á¦-Ó¦±äÇúÏßÈç´Ë¹ÖÒ죿
ÒѾÓÐ25È˻ظ´
newschen
ľ³æ (ÕýʽдÊÖ)
- Ó¦Öú: 233 (´óѧÉú)
- ½ð±Ò: 1925.4
- ºì»¨: 29
- Ìû×Ó: 863
- ÔÚÏß: 144.1Сʱ
- ³æºÅ: 3557250
- ×¢²á: 2014-11-24
- ÐÔ±ð: GG
- רҵ: ¾ÛºÏÎï¹²»ìÓ븴ºÏ²ÄÁÏ
¡¾´ð°¸¡¿Ó¦Öú»ØÌû
¡ï ¡ï ¡ï ¡ï ¡ï ¡ï ¡ï ¡ï ¡ï ¡ï
¸Ðл²ÎÓ룬ӦÖúÖ¸Êý +1
gniboaix: ½ð±Ò+10, ¡ï¡ï¡ïºÜÓаïÖú, ´óÉñѽ£¬Ð»Ð»£¡ 2015-01-09 21:13:06
¸Ðл²ÎÓ룬ӦÖúÖ¸Êý +1
gniboaix: ½ð±Ò+10, ¡ï¡ï¡ïºÜÓаïÖú, ´óÉñѽ£¬Ð»Ð»£¡ 2015-01-09 21:13:06
|
1¡¢Ó¦Á¦Ó¦±äÇúÏßµÄ×ÜÌåÇ÷ÊÆÊÇÕýÈ·µÄ£» 2¡¢¸Ð¾õ»·ÑõÊ÷Ö¬µÄÆÆ»µÓ¦±äÊÇ·ñ×ÜÌ寫µÍ£¿»·Ñõ½½ÖýÌåµÄÆø¿×º¬Á¿Æ«¸ß£¿ 3¡¢ºÚÉ«ÇúÏßÊÇЧ¹û±È½ÏºÃµÄ£» 4¡¢ºÚÉ«ÇúÏßÒÔÉϵÄÈýÌõÏßÖУ¬ÓÐһЩС·å£¬Ó¦±ä»ØÍ·±äС¶øÓ¦Á¦Ôö´ó£¬ËµÃ÷²âÁ¿Ó¦±äµÄÒýÉì¼Æ³öÏÖ´ò»¬¡£²»ÊDzÄÁϵÄÁ¦Ñ§ÐÐΪ£» 5¡¢ºìÉ«ÇúÏßÖÐ×î´óµÄ·åÏÔʾӦÁ¦³öÏÖͻȻϽµ¶øÓ¦±ä³ÖÐøÔö¼Ó£¬2ÔÒò£ºÒ»ÊÇÊÔÑé»ú¼ÓÔØÏµÍ³³öÏÖͻȻµÄ²»¸øÁ¦£¨Ò»°ã²»¿ÉÄÜ£©£»¶þÊDzÄÁϳöÏÖËðÉËÓ¦Á¦Í»È»Ï½µ£¬È»ºóÓ¦Á¦ÖØÐ·ֲ¼ºó³ÐÔØÁ¦ÔٴγÖÐøÔö¼Ó¡£ 6¡¢ºÚÏßÉÏ·½µÄǰÈýÌõÒòÒýÉì¼Æµ¶¿Ú´ò»¬£¬»áʹ×îÖÕµÄÆÆ»µÓ¦±ä²âÁ¿Æ«µÍ£» 7¡¢ËùÓÐÇúÏß¶¼²»Ó°ÏìÇ¿¶ÈºÍÄ£Á¿µÄ²âÁ¿£» 8¡¢×ÜÌåÉϽ²¼¸ÌõÇúÏß¶¼Êǹ¤³ÌÊÔÑéÖг£³öÏֵĿ͹ÛÇé¿ö£¬²»ÐèÒªÌØ±ð´¦Àí£¬Ö»Òª½âÊÍÇå³þ¼´¿É¡£ |
2Â¥2015-01-08 22:23:12
gniboaix
½ð³æ (СÓÐÃûÆø)
- Ó¦Öú: 0 (Ó×¶ùÔ°)
- ½ð±Ò: 1257.6
- ºì»¨: 2
- Ìû×Ó: 82
- ÔÚÏß: 25.1Сʱ
- ³æºÅ: 3133896
- ×¢²á: 2014-04-13
- רҵ: ¸ß·Ö×Ó²ÄÁϵļӹ¤Óë³ÉÐÍ
3Â¥2015-01-10 10:01:17
newschen
ľ³æ (ÕýʽдÊÖ)
- Ó¦Öú: 233 (´óѧÉú)
- ½ð±Ò: 1925.4
- ºì»¨: 29
- Ìû×Ó: 863
- ÔÚÏß: 144.1Сʱ
- ³æºÅ: 3557250
- ×¢²á: 2014-11-24
- ÐÔ±ð: GG
- רҵ: ¾ÛºÏÎï¹²»ìÓ븴ºÏ²ÄÁÏ
|
Ó¦±ä²âÁ¿Æ«µÍµÄ¼¸¸ùÊÔÑù£¬ÓûµÃµ½×¼È·µÄ¶ÏÁÑÓ¦±ä¿ÉÄÜÐèÒªÖØ×öÊÔÑéÁË¡£ÆäËûÖØ×öÒ²¾ÍÊÇ×·ÇóÃÀ¹Û°É¡£ÖÁÓÚ·¢ÎÄÕ£¬¸öÈËÈÏΪӦ׷ÇóÇå³þµÄ²ûÊöÎÊÌ⣬¿ÆÑ§ºÏÀíµÄ½â¾öÎÊÌ⣬²»ÊDZíÃæÆ¯ÁÁµÄ²ûÊöºÍ½â¾öÎÊÌâ¡£Òì³£ÏÖÏóÊÇÎÊÌâµÄÒ»²¿·Ö£¬Ä³Ö̶ֳÈÉϽâ¾öÒì³£ÏÖÏóÊÕ»ñ¸ü´ó¡£Èç¹ûÎÒÉó¸åÎÒÊDz»ÔÚºõÕâ¸öµÄ£¬¹Ø¼üÊÇ˵Çå³þÎÊÌâµÄʵÖÊ¡£ÆäËûÉó¸åÈ˾Ͳ»µÃ¶øÖªÁË¡£ |
» ±¾ÌûÒÑ»ñµÃµÄºì»¨£¨×îÐÂ10¶ä£©
4Â¥2015-01-10 11:28:52
gniboaix
½ð³æ (СÓÐÃûÆø)
- Ó¦Öú: 0 (Ó×¶ùÔ°)
- ½ð±Ò: 1257.6
- ºì»¨: 2
- Ìû×Ó: 82
- ÔÚÏß: 25.1Сʱ
- ³æºÅ: 3133896
- ×¢²á: 2014-04-13
- רҵ: ¸ß·Ö×Ó²ÄÁϵļӹ¤Óë³ÉÐÍ
5Â¥2015-01-10 16:39:56
newschen
ľ³æ (ÕýʽдÊÖ)
- Ó¦Öú: 233 (´óѧÉú)
- ½ð±Ò: 1925.4
- ºì»¨: 29
- Ìû×Ó: 863
- ÔÚÏß: 144.1Сʱ
- ³æºÅ: 3557250
- ×¢²á: 2014-11-24
- ÐÔ±ð: GG
- רҵ: ¾ÛºÏÎï¹²»ìÓ븴ºÏ²ÄÁÏ
6Â¥2015-01-10 22:27:37
gniboaix
½ð³æ (СÓÐÃûÆø)
- Ó¦Öú: 0 (Ó×¶ùÔ°)
- ½ð±Ò: 1257.6
- ºì»¨: 2
- Ìû×Ó: 82
- ÔÚÏß: 25.1Сʱ
- ³æºÅ: 3133896
- ×¢²á: 2014-04-13
- רҵ: ¸ß·Ö×Ó²ÄÁϵļӹ¤Óë³ÉÐÍ
7Â¥2015-01-10 23:03:26














»Ø¸´´ËÂ¥
gniboaix