| 查看: 458 | 回复: 0 | |
gniboaix金虫 (小有名气)
|
[求助]
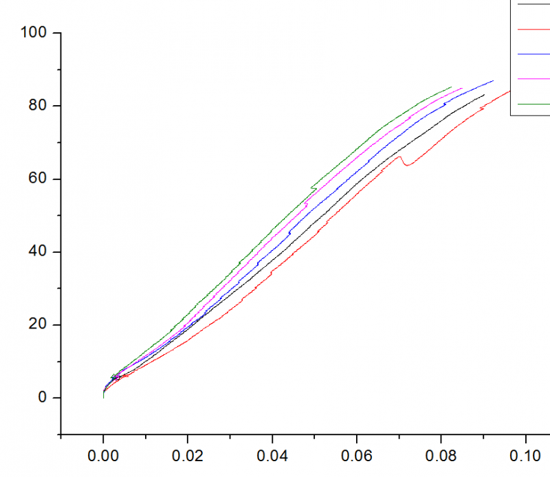
求助:做环氧树脂拉伸实验时得到这样的应力-应变曲线能用吗?
|
|
|
|
|
找到一些相关的精华帖子,希望有用哦~
科研从小木虫开始,人人为我,我为人人
|














回复此楼
点击这里搜索更多相关资源