| 查看: 1719 | 回复: 1 | ||
[求助]
simufact.forming做成形模拟并计算晶粒尺寸,YADA模型。
|
|
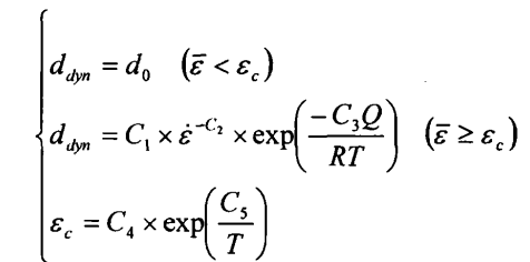
用simufact.forming做墩挤的模拟,想要计算过程中晶粒尺寸的变化,给完初试晶粒尺寸,选完材料后,设定它的YADA模型,为什么计算结果之中没有晶粒尺寸的结果呢? YADA模型又是什么呀?选择软件自带的材料,就可以计算出晶粒尺寸的变化。求助啊。 YADA模型: 1.png |
» 猜你喜欢
2026上海工程技术大学李老师化学材料机械计算机方向招硕士7-10名
已经有0人回复
上海工程技术大学材料方向招收硕士7-10名
已经有10人回复
无机非金属材料论文润色/翻译怎么收费?
已经有234人回复
西安石油大学新能源学院接收材料类、能源动力类、机械类、计算机类等专业专硕调剂生!
已经有12人回复
西安石油大学新能源学院接收材料类、能源动力类、机械类、计算机类等专业专硕调剂生!
已经有13人回复
JMPT期刊有字数限制吗
已经有0人回复
使用高温共聚焦显微镜原位观察熔渣在钢表面的铺展情况
已经有0人回复
西安工业大学 功能材料与防护研究所 2026硕士研究生调剂招收公告
已经有0人回复
西安国家级人才团队,招收资源与环境专业硕士调剂
已经有0人回复
» 本主题相关商家推荐: (我也要在这里推广)
» 本主题相关价值贴推荐,对您同样有帮助:
关于轧制的一些基础问题
已经有5人回复

2楼2018-12-23 18:52:09













回复此楼