| 查看: 379 | 回复: 1 | ||
1277203715木虫 (著名写手)
|
[求助]
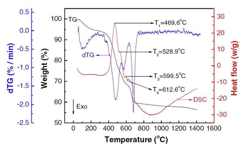
大牛们帮忙看看,这个图该怎样分析 已有1人参与
|
|
|
|
||
【答案】应助回帖
|
||
|
2楼2015-01-13 09:24:07
|
|













回复此楼