| 查看: 2043 | 回复: 19 | |||
eastsunsong金虫 (著名写手)
|
[求助]
求x^3-x^2-(2*a^2+1)*x+1=0的实数解 已有8人参与
|
||
| 如题,求助 |
» 收录本帖的淘帖专辑推荐
数学问题集锦 |
» 猜你喜欢
一志愿华中农业071010,320求调剂
已经有10人回复
材料工程281还有调剂机会吗
已经有43人回复
291求调剂
已经有5人回复
085801电气专硕272求调剂
已经有18人回复
296求调剂
已经有11人回复
求调剂学校
已经有14人回复
药学求调剂
已经有9人回复
复试调剂
已经有22人回复
求调剂推荐
已经有5人回复
山东省基金2026
已经有10人回复
» 本主题相关价值贴推荐,对您同样有帮助:
一个高一函数题求解
已经有7人回复
有关概率分布的问题!十分着急!
已经有13人回复
用 Mathematica 分解因式
已经有18人回复
【求助】求助,解非线性方程组,急
已经有5人回复

畅21
金虫 (知名作家)
- 应助: 15 (小学生)
- 金币: 18162.2
- 散金: 3865
- 红花: 22
- 沙发: 7
- 帖子: 9018
- 在线: 563.8小时
- 虫号: 3451001
- 注册: 2014-09-30
- 性别: GG
- 专业: 无机非金属材料
13楼2015-01-01 19:04:39
pippi6
铁杆木虫 (著名写手)
工程和科学数值计算咨询
- 数学EPI: 6
- 应助: 413 (硕士)
- 贵宾: 0.002
- 金币: 7116.5
- 散金: 15
- 红花: 63
- 帖子: 1639
- 在线: 798.9小时
- 虫号: 2469437
- 注册: 2013-05-14
- 专业: 计算数学与科学工程计算
8楼2015-01-01 17:09:38
终之太刀—晓
铁杆木虫 (著名写手)
数学爱好者
- 数学EPI: 7
- 应助: 282 (大学生)
- 贵宾: 0.018
- 金币: 2934.2
- 散金: 5589
- 红花: 53
- 帖子: 1809
- 在线: 401.6小时
- 虫号: 3469007
- 注册: 2014-10-12
- 性别: MM
- 专业: 偏微分方程
【答案】应助回帖
★ ★ ★ ★ ★
感谢参与,应助指数 +1
eastsunsong: 金币+5 2014-12-31 18:52:59
感谢参与,应助指数 +1
eastsunsong: 金币+5 2014-12-31 18:52:59
|
不知道楼主所问方程中,a是不是一个可变的实参数? 这是一元三次方程,他有确定的求根公式的,可以参考链接:http://wenku.baidu.com/view/ea86c82ced630b1c59eeb56a.html 从复数根内选择出实数根即可。 如果只是想寻找其中的一个实数根,也可以参考下面的链接:http://wenku.baidu.com/view/ec069973f46527d3240ce0f4.html |

2楼2014-12-31 17:44:08
lsp1005
木虫 (正式写手)
- 应助: 76 (初中生)
- 金币: 1697.4
- 红花: 2
- 帖子: 911
- 在线: 69小时
- 虫号: 3548729
- 注册: 2014-11-20
- 性别: GG
- 专业: 固体力学
【答案】应助回帖
★ ★ ★ ★ ★ ★ ★ ★ ★ ★
感谢参与,应助指数 +1
eastsunsong: 金币+10 2014-12-31 18:52:37
感谢参与,应助指数 +1
eastsunsong: 金币+10 2014-12-31 18:52:37
|
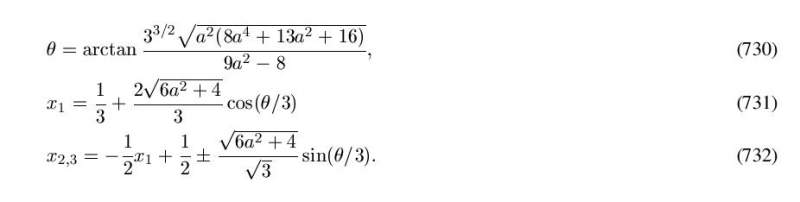
利用matlab求解结果。>> syms x;syms a; >> N=x^3-x^2-(2*a^2+1)*x+1; >> solve(N,'x') ans = ((2*a^2)/3 + 4/9)/(a^2/3 + ((a^2/3 - 8/27)^2 - ((2*a^2)/3 + 4/9)^3)^(1/2) - 8/27)^(1/3) + (a^2/3 + ((a^2/3 - 8/27)^2 - ((2*a^2)/3 + 4/9)^3)^(1/2) - 8/27)^(1/3) + 1/3 1/3 - (a^2/3 + ((a^2/3 - 8/27)^2 - ((2*a^2)/3 + 4/9)^3)^(1/2) - 8/27)^(1/3)/2 + (3^(1/2)*(((2*a^2)/3 + 4/9)/(a^2/3 + ((a^2/3 - 8/27)^2 - ((2*a^2)/3 + 4/9)^3)^(1/2) - 8/27)^(1/3) - (a^2/3 + ((a^2/3 - 8/27)^2 - ((2*a^2)/3 + 4/9)^3)^(1/2) - 8/27)^(1/3))*i)/2 - ((2*a^2)/3 + 4/9)/(2*(a^2/3 + ((a^2/3 - 8/27)^2 - ((2*a^2)/3 + 4/9)^3)^(1/2) - 8/27)^(1/3)) 1/3 - (a^2/3 + ((a^2/3 - 8/27)^2 - ((2*a^2)/3 + 4/9)^3)^(1/2) - 8/27)^(1/3)/2 - (3^(1/2)*(((2*a^2)/3 + 4/9)/(a^2/3 + ((a^2/3 - 8/27)^2 - ((2*a^2)/3 + 4/9)^3)^(1/2) - 8/27)^(1/3) - (a^2/3 + ((a^2/3 - 8/27)^2 - ((2*a^2)/3 + 4/9)^3)^(1/2) - 8/27)^(1/3))*i)/2 - ((2*a^2)/3 + 4/9)/(2*(a^2/3 + ((a^2/3 - 8/27)^2 - ((2*a^2)/3 + 4/9)^3)^(1/2) - 8/27)^(1/3)) |

3楼2014-12-31 17:51:45
eastsunsong
金虫 (著名写手)
- 应助: 62 (初中生)
- 金币: 1286.5
- 散金: 552
- 红花: 3
- 沙发: 1
- 帖子: 1328
- 在线: 555.5小时
- 虫号: 899629
- 注册: 2009-11-10
- 性别: GG
- 专业: 岩土与基础工程
- 管辖: 土木建筑

4楼2014-12-31 18:52:19
eastsunsong
金虫 (著名写手)
- 应助: 62 (初中生)
- 金币: 1286.5
- 散金: 552
- 红花: 3
- 沙发: 1
- 帖子: 1328
- 在线: 555.5小时
- 虫号: 899629
- 注册: 2009-11-10
- 性别: GG
- 专业: 岩土与基础工程
- 管辖: 土木建筑

5楼2014-12-31 19:39:00
zaq123321
专家顾问 (著名写手)
-

专家经验: +343 - 数学EPI: 6
- 应助: 298 (大学生)
- 贵宾: 0.247
- 金币: 10786.8
- 散金: 205
- 红花: 29
- 帖子: 1223
- 在线: 539.9小时
- 虫号: 405284
- 注册: 2007-06-17
- 性别: MM
- 专业: 生物大分子结构与功能
- 管辖: 数学

6楼2014-12-31 23:16:03
pippi6
铁杆木虫 (著名写手)
工程和科学数值计算咨询
- 数学EPI: 6
- 应助: 413 (硕士)
- 贵宾: 0.002
- 金币: 7116.5
- 散金: 15
- 红花: 63
- 帖子: 1639
- 在线: 798.9小时
- 虫号: 2469437
- 注册: 2013-05-14
- 专业: 计算数学与科学工程计算
7楼2015-01-01 17:03:38
![]() ![]() |
9楼2015-01-01 17:32:28
cooooldog
铁杆木虫 (著名写手)
ส็็็
- 数学EPI: 2
- 应助: 237 (大学生)
- 金币: 6101.9
- 散金: 1114
- 红花: 39
- 帖子: 1380
- 在线: 553.8小时
- 虫号: 506699
- 注册: 2008-02-18
- 专业: 模式识别
【答案】应助回帖
★ ★ ★ ★ ★
感谢参与,应助指数 +1
eastsunsong: 金币+5 2015-01-01 20:05:50
感谢参与,应助指数 +1
eastsunsong: 金币+5 2015-01-01 20:05:50
» 本帖已获得的红花(最新10朵)

10楼2015-01-01 18:08:25














回复此楼

eastsunsong