| ²é¿´: 742 | »Ø¸´: 4 | ||||
·ÉÐÜ»·ÓμÇÌú³æ (ÕýʽдÊÖ)
|
[ÇóÖú]
¸÷λ´óÏÀ£¬ÎÒµÚÒ»´ÎÓÃ1stoptÓõİ汾ÊÇ1.5£¬ÇëÀ´°ïÎÒ¿´¿´´úÂë ÒÑÓÐ2È˲ÎÓë
|
|
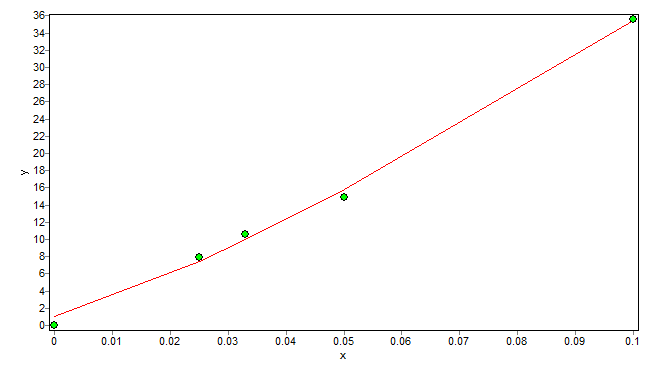
Title "1"; //Parameters ; m1,m2,k,p1,p2 //Variable ; x,y; //Function ; y=(1-(1-m1)*k*p1^m1*p2^m2*x)^(1/(1-m1)); p1=6.761 p2=94.56 ; x=0 0.025 0.033 0.05 0.1 y=0 7.86 10.57 14.9 35.58 ÔõôÑù²ÅÄÜÈÃËü×÷ͼ¡£¡£¡£ Ϊʲôµã¼ÆËãÖ®ºó£¬½á¹ûÀïÃæÊ²Ã´¶¼Ã»ÓÐ ×ż±×ż±×ż±°¡ ÔÚÏßµÈ |
» ²ÂÄãϲ»¶
µ÷¼Á
ÒѾÓÐ0È˻ظ´
¡¾ÐÂ¼ÓÆÂ¡¿ÄÉÃ×µç×ÓÆ÷¼þÏîÄ¿×éÓС°ÁªºÏÅàÑø²©Ê¿Éú¡±Ãû¶î
ÒѾÓÐ0È˻ظ´
ÎïÀíѧIÂÛÎÄÈóÉ«/·ÒëÔõôÊÕ·Ñ?
ÒѾÓÐ129È˻ظ´
Öе²©Ê¿ºó2026ÏîÄ¿5ÔÂ30ÈÕ½ØÖ¹- ¹úÄÚ²©Ê¿ºóÈëÕ¾¡¢µÂ¹úÁ½Äêȫְ
ÒѾÓÐ0È˻ظ´
ÃæÏòÈ«ÇòÉêÇëÈ˵ÄÖе²©Ê¿ºó2026ÏîÄ¿5ÔÂ30ÈÕ½ØÖ¹- ¹úÄÚ²©ºóÈëÕ¾µÂ¹úÁ½Äêȫְ
ÒѾÓÐ0È˻ظ´
¡¾ÐÂ¼ÓÆÂ¡¿ÄÉÃ×µç×ÓÆ÷¼þÏîÄ¿×éÓС°ÁªºÏÅàÑø²©Ê¿Éú¡±Ãû¶î
ÒѾÓÐ2È˻ظ´
ÖØÇì½»´ó²ÄÁÏѧԺ26Äê˶ʿÕÐÉú¸´ÊÔʵʩϸÔòÒѳö¡£»¶Ó¼ÓÈë¹â×Óѧ΢½á¹¹ÓëÆ÷¼þ¿ÎÌâ×é¡£
ÒѾÓÐ0È˻ظ´
±±¹¤´óËÎÏþÑÞ½ÌÊÚÍŶÓÕÐÊÕ2026Äê9ÔÂÈëѧ²©Ê¿¡¾Ñ§²©ºÍר²©Ãû¶î¾ùÓС¿£¡
ÒѾÓÐ1È˻ظ´
Ìì½ò³Ç½¨´óѧÀíѧԺ»¯Ñ§¡¢»·¾³¹¤³Ì¡¢²ÄÁÏÎïÀíµÈ·½Ïò½ÓÊÕ10ÈË
ÒѾÓÐ0È˻ظ´
Ìì½ò³Ç½¨´óѧÀíѧԺ»¯Ñ§¡¢»·¾³¹¤³Ì¡¢²ÄÁÏÎïÀíµÈ·½Ïò½ÓÊÕµ÷¼Á£¬10ÈË
ÒѾÓÐ0È˻ظ´
» ±¾Ö÷ÌâÏà¹Ø¼ÛÖµÌùÍÆ¼ö£¬¶ÔÄúͬÑùÓаïÖú:
¸÷λǰ±²£¬ÀûÓÃ1stOpt¶Ô·ÇÏßÐÔ·½³ÌÄâºÏÿ´ÎÔËËã½á¹û¶¼²»Ò»ÑùÔõô°ìÄØ£¿
ÒѾÓÐ9È˻ظ´
¿´ÁËÏÂ1stOptµÄ½éÉÜ£¬¸Ð¾õÂÔÏÔ¸¡¿ä
ÒѾÓÐ14È˻ظ´
»áÓÃ1stoptµÄÀÏʦ °ï濴һ϶ÔÓÚÒ»»·Ì×Ò»»·µÄ²ÎÊýÔõÑù»Ø¹é
ÒѾÓÐ3È˻ظ´
Çó´ó¸ç´ó½ã°ïÅÜÒ»ÏÂ1stopt~ÐÂÊÖ°¡£¬°æ±¾µÍ°¡
ÒѾÓÐ6È˻ظ´
ËÄܰïæÓÃ1StoptÔËÐÐϳÌÐòѽ£¿Ð»Ð»£¬ÎÒµÄ1.5°æ±¾µÄÔËÐв»Á˰¡
ÒѾÓÐ6È˻ظ´
Çó´óÉñÅÜÏÂ1stOpt£¬Ò»¸ösharemodel£¬Ð»Ð»£¡
ÒѾÓÐ7È˻ظ´
Çó¸ßÊÖ¸ø×öÒ»µÀÌ⣬ÓÃMATLAB»ò1stOpt£¬Çë°Ñ½á¹ûÖ±½Ó¸ø³öÀ´£¬ÎÒµÄÈí¼þ¾Í²»ÐУ¬Ð»Ð»
ÒѾÓÐ5È˻ظ´
1stopt½â·½³Ì×é
ÒѾÓÐ12È˻ظ´
²ÉÓÃ1stoptÄâºÏ
ÒѾÓÐ8È˻ظ´
Çó¸ß°æ±¾1stoptÄâºÏ£¬
ÒѾÓÐ11È˻ظ´
sos!!1stopt½â·ÇÏßÐÔ·½³Ì×飬һֱ³öÏÖ³£Êý¶¨Òå´íÎóµÄÎÊÌ⣡Çó´óÉñ°ïÖú£¡
ÒѾÓÐ12È˻ظ´
ÓÃmatlabÀïµÄnlinfitÈçºÎÄâºÏ·Ö¶Îº¯Êý
ÒѾÓÐ8È˻ظ´
Çó¸ßÊÖ½â´ðMatlabÇó½â΢·Ö·½³ÌµÄ³õʼֵºÍ±ß½çÖµÎÊÌâ
ÒѾÓÐ5È˻ظ´
Çó´ó¸ç´ó½ã°ïÅÜÒ»ÏÂ1stopt~ÐÂÊÖ°¡£¬°æ±¾µÍ°¡
ÒѾÓÐ9È˻ظ´
Çó´óÏÀ°ïÖúÅÜÒ»ÏÂ1stopt
ÒѾÓÐ12È˻ظ´
1stOPT1.5°æÃ¿´Î·ÂÕæ½á¹û²»Ò»Ñù£¬ÇóÖú£¡¼±£¡
ÒѾÓÐ3È˻ظ´
ѧ1stoptÒª¶à¾Ã£¿
ÒѾÓÐ12È˻ظ´

NicoleLas
ľ³æ (ÕýʽдÊÖ)
- Ó¦Öú: 66 (³õÖÐÉú)
- ½ð±Ò: 4288.7
- ºì»¨: 26
- Ìû×Ó: 514
- ÔÚÏß: 177.2Сʱ
- ³æºÅ: 2872321
- ×¢²á: 2013-12-15
- ÐÔ±ð: GG
- רҵ: ¼ÆËã»úÈí¼þ

2Â¥2014-12-25 23:38:00
ÔÂÖ»À¶
Ö÷¹ÜÇø³¤ (Ö°Òµ×÷¼Ò)
-

ר¼Ò¾Ñé: +1059 - ¼ÆËãÇ¿Ìû: 8
- Ó¦Öú: 1712 (½²Ê¦)
- ¹ó±ö: 8.888
- ½ð±Ò: 68128.7
- É¢½ð: 1938
- ºì»¨: 443
- ɳ·¢: 4
- Ìû×Ó: 4373
- ÔÚÏß: 3291.4Сʱ
- ³æºÅ: 1122189
- ×¢²á: 2010-10-14
- רҵ: ÓîÖæÑ§
- ¹ÜϽ: ¼ÆËãÄ£ÄâÇø
¡¾´ð°¸¡¿Ó¦Öú»ØÌû
¡ï ¡ï ¡ï ¡ï ¡ï ¡ï ¡ï ¡ï ¡ï ¡ï ¡ï ¡ï ¡ï ¡ï ¡ï ¡ï ¡ï ¡ï ¡ï ¡ï ¡ï ¡ï ¡ï ¡ï ¡ï ¡ï ¡ï ¡ï ¡ï ¡ï
¸Ðл²ÎÓ룬ӦÖúÖ¸Êý +1
·ÉÐÜ»·ÓμÇ: ½ð±Ò+30, ¡ï¡ï¡ïºÜÓаïÖú 2014-12-26 12:25:22
¸Ðл²ÎÓ룬ӦÖúÖ¸Êý +1
·ÉÐÜ»·ÓμÇ: ½ð±Ò+30, ¡ï¡ï¡ïºÜÓаïÖú 2014-12-26 12:25:22
|
Constant p1=6.761,p2=94.56; Parameters m1,m2,k£» Variable x,y; Function y=(1-(1-m1)*k*p1^m1*p2^m2*x)^(1/(1-m1)); Data; 0 0 0.025 7.86 0.033 10.57 0.05 14.9 0.1 35.58 |

3Â¥2014-12-26 10:00:21
ÔÂÖ»À¶
Ö÷¹ÜÇø³¤ (Ö°Òµ×÷¼Ò)
-

ר¼Ò¾Ñé: +1059 - ¼ÆËãÇ¿Ìû: 8
- Ó¦Öú: 1712 (½²Ê¦)
- ¹ó±ö: 8.888
- ½ð±Ò: 68128.7
- É¢½ð: 1938
- ºì»¨: 443
- ɳ·¢: 4
- Ìû×Ó: 4373
- ÔÚÏß: 3291.4Сʱ
- ³æºÅ: 1122189
- ×¢²á: 2010-10-14
- רҵ: ÓîÖæÑ§
- ¹ÜϽ: ¼ÆËãÄ£ÄâÇø

4Â¥2014-12-26 10:01:05
NicoleLas
ľ³æ (ÕýʽдÊÖ)
- Ó¦Öú: 66 (³õÖÐÉú)
- ½ð±Ò: 4288.7
- ºì»¨: 26
- Ìû×Ó: 514
- ÔÚÏß: 177.2Сʱ
- ³æºÅ: 2872321
- ×¢²á: 2013-12-15
- ÐÔ±ð: GG
- רҵ: ¼ÆËã»úÈí¼þ

5Â¥2014-12-26 13:01:57














»Ø¸´´ËÂ¥