| 查看: 1278 | 回复: 3 | ||||
[求助]
急求1stOpt计算积分问题 已有1人参与
|
|
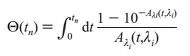
小弟是菜鸟,最近一个数据,公式如下 Θ(tn)为常数,Aλi(t,λi)和tn为变量 tn Aλi(t,λi) 0 1.2357 5 0.9815 10 0.8935 15 0.837 20 0.8057 25 0.7983 30 0.7903 35 0.7885 最终计算出Θ(tn)的数值,不知道代码如何写,急求各位高手帮忙 |
» 猜你喜欢
深圳大学2026年秋博士招生-物理学-活性胶体方向-高永祥课题组
已经有18人回复
论物质与能量的统一模型及物理现象解释
已经有0人回复
物理学I论文润色/翻译怎么收费?
已经有167人回复
基于基元I统一理论的数学相关应用推导
已经有0人回复
基元I统一理论:宇宙本质、层级演化与修炼文明的本源规律
已经有1人回复
基元I理论下三大核心空间现象精准推导与细节解析
已经有0人回复
基于基元 I 统一理论的反重力理论推导
已经有0人回复
基于基元I统一理论的量子力学本源推导
已经有1人回复
推荐一款可以AI辅助写作的Latex编辑器SmartLatexEditor,超级好用,AI润色,全免费
已经有17人回复
【EI|Scopus 双检索】第六届智能机器人系统国际会议(ISoIRS 2026)
已经有0人回复
2026年第四届电动车与车辆工程国际会议(CEVVE 2026)
已经有0人回复
» 本主题相关价值贴推荐,对您同样有帮助:
求高版本1stOpT跑代码
已经有8人回复
看了下1stOpt的介绍,感觉略显浮夸
已经有14人回复
求大哥大姐帮跑一下1stopt~新手啊,版本低啊
已经有6人回复
1stopt为何结果是 计算值全为0
已经有8人回复
1stopt自变量超多时是否有简单语法?AND 自变量多 数据量大的话1stopt都会算的特慢么
已经有7人回复
求大神跑下1stOpt,一个sharemodel,谢谢!
已经有7人回复
关于交换系数J的计算
已经有11人回复
1stopt提示函数字符串有误!真心求教!
已经有8人回复
求助1stopt拟合动力学参数
已经有4人回复
求大神帮忙拟合一个非线性方程,求出模型参数
已经有15人回复
用1stOpt进行复数曲线拟合时,结果出错。急求教!!!
已经有5人回复
对于某一变量关于多个自变量的拟合问题求助?
已经有15人回复
1stOPT1.5版每次仿真结果不一样,求助!急!
已经有3人回复
求高版本1stopt,解决一个问题,微分方程组参数拟合
已经有3人回复
1stopt运行程序,总是出现字符函数错误的提示,请高手帮助
已经有5人回复
急切求助!一个mathematica求解一个简单一元非线性方程的问题
已经有4人回复
origin或1stopt计算积分面积
已经有4人回复
【求助】【求助】mathematica中的一种数值积分问题
已经有5人回复
月只蓝
主管区长 (职业作家)
-

专家经验: +1059 - 计算强帖: 8
- 应助: 1712 (讲师)
- 贵宾: 8.888
- 金币: 68124.7
- 散金: 1938
- 红花: 443
- 沙发: 4
- 帖子: 4373
- 在线: 3291.4小时
- 虫号: 1122189
- 注册: 2010-10-14
- 专业: 宇宙学
- 管辖: 计算模拟区
【答案】应助回帖
★ ★ ★ ★ ★ ★ ★ ★ ★ ★ ★ ★ ★ ★ ★ ★ ★ ★ ★ ★
感谢参与,应助指数 +1
箭头: 金币+20, ★有帮助, 谢谢,先给20 2014-12-24 09:37:07
感谢参与,应助指数 +1
箭头: 金币+20, ★有帮助, 谢谢,先给20 2014-12-24 09:37:07
|
先1stopt拟合出 A和tn的关系式,记y=A,x=tn,得: y = p1+p2*x+p3*x^2+p4*x^3+p5*x^4+p6*x^5+p7*x^6 式中参数 p1 1.23569635780248 p2 -0.0905374423191263 p3 0.0117012075219781 p4 -0.000936990967946798 p5 4.13502564435543E-5 p6 -9.14374359878871E-7 p7 7.90666667614666E-9 然后MATLAB计算积分: clear all;clc p1 = 1.23569635780248; p2 = -0.0905374423191263; p3 = 0.0117012075219781; p4 = -0.000936990967946798; p5 = 4.13502564435543E-5; p6 = -9.14374359878871E-7; p7 = 7.90666667614666E-9; bb=0:5:35; for i=1:length(bb) b(i)=bb(i); y(i)=quadgk(@(x) (1-10.^(-(p1+p2*x+p3*x.^2+p4*x.^3+p5*x.^4+p6*x.^5+p7*x.^6)) )./(p1+p2*x+p3*x.^2+p4*x.^3+p5*x.^4+p6*x.^5+p7*x.^6),0,b(i) ); end [b' y'] 计算结果: tn θ 0 0 5.0000 4.2468 10.0000 8.9838 15.0000 13.9813 20.0000 19.1609 25.0000 24.4170 30.0000 29.6961 35.0000 35.0191 以上思路仅是计算θ随着tn变化的情况。 |

2楼2014-12-23 21:42:27
3楼2014-12-24 09:36:41
月只蓝
主管区长 (职业作家)
-

专家经验: +1059 - 计算强帖: 8
- 应助: 1712 (讲师)
- 贵宾: 8.888
- 金币: 68124.7
- 散金: 1938
- 红花: 443
- 沙发: 4
- 帖子: 4373
- 在线: 3291.4小时
- 虫号: 1122189
- 注册: 2010-10-14
- 专业: 宇宙学
- 管辖: 计算模拟区

4楼2014-12-24 10:33:48













回复此楼