版块导航
正在加载中...
客户端APP下载
论文辅导
申博辅导
登录
注册
帖子
帖子
用户
本版
应《网络安全法》要求,自2017年10月1日起,未进行实名认证将不得使用互联网跟帖服务。为保障您的帐号能够正常使用,请尽快对帐号进行手机号验证,感谢您的理解与支持!
24小时热门版块排行榜
>
论坛更新日志
(4026)
>
文献求助
(468)
>
虫友互识
(354)
>
导师招生
(267)
>
教师之家
(148)
>
考博
(113)
>
硕博家园
(106)
>
休闲灌水
(72)
>
论文道贺祈福
(65)
>
绿色求助(高悬赏)
(62)
>
考研
(60)
>
招聘信息布告栏
(56)
>
论文投稿
(55)
>
基金申请
(45)
>
博后之家
(43)
>
公派出国
(43)
小木虫论坛-学术科研互动平台
»
计算模拟区
»
计算模拟
»
其他
»
matlab求指数函数积分,请高手帮助,不胜感激
5
1/1
返回列表
查看: 2497 | 回复: 13
只看楼主
@他人
存档
新回复提醒
(忽略)
收藏
在APP中查看
当前只显示满足指定条件的回帖,点击这里查看本话题的所有回帖
zhuyanlong
金虫
(小有名气)
应助: 2
(幼儿园)
金币: 3567.1
红花: 2
帖子: 220
在线: 208.1小时
虫号: 711364
注册: 2009-02-28
专业: 热分析与能谱分析
[
求助
]
matlab求指数函数积分,请高手帮助,不胜感激
已有3人参与
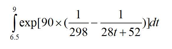
如附图所示,一个关于指数函数的积分,本人新手,请高手帮忙,最好详细代码!
K0WTJDX}06M]9A}E{H2N}5L.jpg
回复此楼
» 猜你喜欢
南开大学物理学院张书辉副教授招收凝聚态物理理论方向博士生、硕士生
已经有22人回复
杂志要求提供official language-editing certificate
已经有4人回复
物理学I论文润色/翻译怎么收费?
已经有274人回复
深圳大学2026年秋博士招生-物理学-活性胶体方向-高永祥课题组
已经有17人回复
论物质与能量的统一模型及物理现象解释
已经有0人回复
基于基元I统一理论的数学相关应用推导
已经有0人回复
基元I统一理论:宇宙本质、层级演化与修炼文明的本源规律
已经有1人回复
基元I理论下三大核心空间现象精准推导与细节解析
已经有0人回复
基于基元 I 统一理论的反重力理论推导
已经有0人回复
基于基元I统一理论的量子力学本源推导
已经有1人回复
推荐一款可以AI辅助写作的Latex编辑器SmartLatexEditor,超级好用,AI润色,全免费
已经有10人回复
» 本主题相关价值贴推荐,对您同样有帮助:
幂函数积分求解,求高手解决。。。万分感谢!
已经有6人回复
已知6个点,可以用MATLAB拟合出一个函数吗?请各位大侠指教!不胜感激!!!
已经有10人回复
求助:用matlab或其它软件进行如下计算模拟,多谢
已经有3人回复
matlab求函数积分出错
已经有12人回复
求大神用matlab给我处理一组数据,有人没有啊?
已经有15人回复
求助:遗传算法的matlab编程求解资源优化问题
已经有7人回复
隐函数积分问题的matlab编程求助
已经有3人回复
怎样用一组参数同时拟合两个曲线--matlab
已经有5人回复
matlab Rung-kutta算法
已经有7人回复
求助 matlab交点问题
已经有19人回复
matlab 气泡边缘提取 求助高手!!
已经有5人回复
关于matlab的一个基础问题
已经有4人回复
用Matlab求解方程
已经有6人回复
【求助】用matlab最优化方法进行参数拟合
已经有17人回复
【求助】急求关于matlab做非线性拟合的函数
已经有8人回复
【求助】请教一个matlab程序,谢谢帮忙!!
已经有15人回复
【求助】 求MAtlab求解程序!!!
已经有20人回复
1楼
2014-12-18 21:47:07
已阅
回复此楼
关注TA
给TA发消息
送TA红花
TA的回帖
NicoleLas
木虫
(正式写手)
应助: 66
(初中生)
金币: 4288.7
红花: 26
帖子: 514
在线: 177.2小时
虫号: 2872321
注册: 2013-12-15
性别: GG
专业: 计算机软件
【答案】应助回帖
★ ★ ★ ★ ★
感谢参与,应助指数 +1
zhuyanlong: 金币+5,
★
有帮助, 以后学习LINGO时参考啊
2014-12-20 23:36:17
LINGO代码:
PROCEDURE demoInt:
Y = @EXP( 90*( 1/298 - 1/(28*X + 52) ) );
ENDPROCEDURE
CALC:
RES = @INTEGRAL( demoInt, X, 6.5, 9, Y );
ENDCALC
结果:
2.41608286316
赞
一下
回复此楼
高级回复
Be water, my friend.
3楼
2014-12-18 22:11:46
已阅
回复此楼
关注TA
给TA发消息
送TA红花
TA的回帖
查看全部 14 个回答
dingd
铁杆木虫
(职业作家)
计算强帖: 4
应助: 1641
(讲师)
金币: 15037.3
散金: 101
红花: 234
帖子: 3410
在线: 1223.7小时
虫号: 291104
注册: 2006-10-28
【答案】应助回帖
★ ★ ★ ★ ★
感谢参与,应助指数 +1
zhuyanlong: 金币+5, 可以参考一下
2014-12-20 23:34:38
1stOpt试了下:
CODE:
Integrate(exp(90*(1/298-1/(28*t+52))),t=6.5,9);
2.41608286343415
赞
一下
回复此楼
2楼
2014-12-18 22:09:51
已阅
回复此楼
关注TA
给TA发消息
送TA红花
TA的回帖
zhuyanlong
金虫
(小有名气)
应助: 2
(幼儿园)
金币: 3567.1
红花: 2
帖子: 220
在线: 208.1小时
虫号: 711364
注册: 2009-02-28
专业: 热分析与能谱分析
引用回帖:
3楼
:
Originally posted by
NicoleLas
at 2014-12-18 22:11:46
LINGO代码:
PROCEDURE demoInt:
Y = @EXP( 90*( 1/298 - 1/(28*X + 52) ) );
ENDPROCEDURE
CALC:
RES = @INTEGRAL( demoInt, X, 6.5, 9, Y );
ENDCALC
结果:
2.41608286316
能编个matlab代码吗.这个代码运行不了
[ 发自手机版 http://muchong.com/3g ]
赞
一下
回复此楼
4楼
2014-12-19 08:46:03
已阅
回复此楼
关注TA
给TA发消息
送TA红花
TA的回帖
月只蓝
主管区长
(职业作家)
专家经验: +1059
计算强帖: 8
应助: 1712
(讲师)
贵宾: 8.888
金币: 68123.7
散金: 1938
红花: 443
沙发: 4
帖子: 4373
在线: 3291.4小时
虫号: 1122189
注册: 2010-10-14
专业: 宇宙学
管辖:
计算模拟区
【答案】应助回帖
★ ★ ★ ★ ★ ★ ★ ★ ★ ★ ★ ★ ★ ★ ★ ★ ★ ★ ★ ★ ★ ★ ★ ★ ★ ★ ★ ★ ★ ★ ★ ★ ★ ★ ★ ★ ★ ★ ★ ★
感谢参与,应助指数 +1
zhuyanlong: 金币+40,
★★★
很有帮助, 版主果然厉害,以后有问题就请教你啦
2014-12-20 23:37:48
引用回帖:
4楼
:
Originally posted by
zhuyanlong
at 2014-12-19 08:46:03
能编个matlab代码吗.这个代码运行不了
...
MATLAB:
int(exp(90*(1/298-1/(28*t+52))),t,6.5,9)
ans =
2.416082863
赞
一下
回复此楼
MATLAB、MS小问题、普通问题请发帖求助!时间精力有限,恕不接受无偿私信求助。
5楼
2014-12-19 08:58:07
已阅
回复此楼
关注TA
给TA发消息
送TA红花
TA的回帖
查看全部 14 个回答
如果回帖内容含有宣传信息,请如实选中。否则帐号将被全论坛禁言
普通表情
龙
兔
虎
猫
百度网盘
|
360云盘
|
千易网盘
|
华为网盘
在新窗口页面中打开自己喜欢的网盘网站,将文件上传后,然后将下载链接复制到帖子内容中就可以了。
信息提示
关闭
请填处理意见
关闭
确定