| 查看: 466 | 回复: 1 | |
herozhu木虫 (正式写手)
|
[求助]
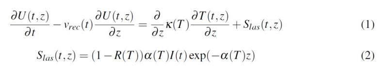
带后退速度项(receding velocity)的传热方程FVM求解
|
![]() |
|
|
|
|
herozhu木虫 (正式写手)
|
|
![]() |
|
|
2楼2014-12-22 07:52:17
|
|














回复此楼
