| 查看: 1659 | 回复: 4 | ||
zhouxman金虫 (小有名气)
|
[求助]
怎样求解一个矢量的旋度 已有1人参与
|
|
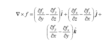
试图用uds求解磁场,有没有同志做过? 怎样求解一个矢量的旋度,就是磁通密度和磁矢的关系 求解 B= delta XA 另外A与电流密度J的关系是相同方向的,可以把 delta 2次B=-mu*J的方程当做(二维)两个标准uds求解吗 ?谢谢 |
» 猜你喜欢
数一英一271专硕(085401)求调剂,可跨
已经有8人回复
295求调剂
已经有4人回复
0856求调剂
已经有5人回复
材料学硕333求调剂
已经有10人回复
299求调剂
已经有6人回复
一志愿郑州大学,080500学硕,总分317分求调剂
已经有6人回复
289求调剂
已经有12人回复
070305高分子化学与物理 304分求调剂
已经有6人回复
0703化学调剂,求导师收
已经有10人回复
各位老师好,我的一志愿为北京科技大学085601材料专硕
已经有5人回复
» 本主题相关价值贴推荐,对您同样有帮助:
opencv中如何利用匹配的特征点求解2帧图像间的运动矢量矩阵,新人求助~
已经有10人回复
一个简单的运算,求助数学大神啊
已经有7人回复
请教各位一个关于求坐标系的概念
已经有7人回复
【转帖】流体力学的路线图(转自流体中文网周华的博客)
已经有60人回复
UDF中旋度或一阶导数的求法
已经有8人回复
求助,图像的旋度是什么
已经有7人回复
如何自定义一个矢量函数,并在计算域内求解这个矢量函数且将矢量图绘制出来!
已经有5人回复
两次旋度作用于某个矢量是什么样的物理图像?<已搜索无重复>
已经有4人回复
请教一个静电场,恒定电场的问题
已经有17人回复
2楼2014-12-02 09:05:01
zhouxman
金虫 (小有名气)
- 应助: 51 (初中生)
- 金币: 1363.4
- 散金: 32
- 红花: 5
- 帖子: 299
- 在线: 115.5小时
- 虫号: 1419015
- 注册: 2011-09-27
- 专业: 零件成形制造
3楼2014-12-02 09:36:42
zhouxman
金虫 (小有名气)
- 应助: 51 (初中生)
- 金币: 1363.4
- 散金: 32
- 红花: 5
- 帖子: 299
- 在线: 115.5小时
- 虫号: 1419015
- 注册: 2011-09-27
- 专业: 零件成形制造
4楼2014-12-02 09:58:55
5楼2020-02-18 17:45:02














回复此楼
