版块导航
正在加载中...
客户端APP下载
论文辅导
申博辅导
登录
注册
帖子
帖子
用户
本版
应《网络安全法》要求,自2017年10月1日起,未进行实名认证将不得使用互联网跟帖服务。为保障您的帐号能够正常使用,请尽快对帐号进行手机号验证,感谢您的理解与支持!
24小时热门版块排行榜
>
论坛更新日志
(3081)
>
文献求助
(280)
>
虫友互识
(230)
>
导师招生
(111)
>
休闲灌水
(90)
>
招聘信息布告栏
(82)
>
公派出国
(53)
>
绿色求助(高悬赏)
(51)
>
教师之家
(47)
>
硕博家园
(46)
>
论文投稿
(46)
>
考博
(42)
>
基金申请
(32)
>
博后之家
(28)
>
考研
(28)
>
SciFinder/Reaxys
(24)
小木虫论坛-学术科研互动平台
»
化学化工区
»
高分子
»
功能高分子
»
大家帮忙看看这个DTA数据图
3
1/1
返回列表
查看: 439 | 回复: 2
只看楼主
@他人
存档
新回复提醒
(忽略)
收藏
在APP中查看
boukephalas
金虫
(小有名气)
应助: 1
(幼儿园)
金币: 1108.9
散金: 370
红花: 1
帖子: 234
在线: 99小时
虫号: 1247274
注册: 2011-03-28
性别: GG
专业: 功能与智能高分子
[
求助
]
大家帮忙看看这个DTA数据图
已有1人参与
我测的是聚酰亚胺的DTA,求高手看看玻璃化转变温度Tg是多少,100多度有个小包,但这不可能是聚酰亚胺Tg,再往后就看不出了
Graph3.png
回复此楼
» 猜你喜欢
回收溶剂求助
已经有7人回复
职称评审没过,求安慰
已经有40人回复
硝基苯如何除去
已经有3人回复
A期刊撤稿
已经有4人回复
垃圾破二本职称评审标准
已经有17人回复
投稿Elsevier的Neoplasia杂志,到最后选publishing options时页面空白,不能完成投稿
已经有22人回复
申请26博士
已经有5人回复
EST投稿状态问题
已经有7人回复
毕业后当辅导员了,天天各种学生超烦
已经有4人回复
求助文献
已经有3人回复
» 本主题相关价值贴推荐,对您同样有帮助:
如何将DSC与TG/DTA图结合起来做分析?用下面的图例帮我分析一下,辛苦各位了
已经有19人回复
帮忙分析一下这个树形图
已经有3人回复
求各位帮忙分析一下这个能带图
已经有3人回复
求大家帮帮我,长春理工大学
已经有3人回复
麻烦各位帮我看看这个吧,关于聚合物的,谢谢啦
已经有9人回复
TG/DTA与TGA的区别。。
已经有9人回复
请帮我看看这个DSC图
已经有6人回复
帮忙分析一下TG-DTA图
已经有6人回复
请大家帮我分析一下我的TG分析图
已经有14人回复
高手 帮忙看看这两数据
已经有5人回复
求高手帮忙看下这个单晶数据怎么样?非常感谢!
已经有3人回复
求大牛指教:怎么根据DTA-TG曲线制定烧结制度~
已经有4人回复
求高手帮忙分析一下我的这个数据
已经有11人回复
请高手帮忙分析一下SiO2-Al2O3的TG-DTA曲线,非常感谢!
已经有7人回复
TG-DTA的分析,请问大家看我分析的对吗?
已经有5人回复
Sn粉的DTA和TG图有些问题
已经有8人回复
【求助】求助DSC图谱分析
已经有12人回复
【求助】大家帮我分析下DTA曲线,谢
已经有10人回复
【求助】高手帮忙分析一下DSC图片 本人菜鸟 DSC一点不懂
已经有4人回复
【求助】高奖励 帮我做一下DSC曲线图
已经有3人回复
【求助】DTA数据分析
已经有3人回复
【讨论】大伙帮满看看这个TG-DTA基线文件的问题
已经有12人回复
Abeardwelllatheredishalfshaved
1楼
2014-11-30 20:09:47
已阅
回复此楼
关注TA
给TA发消息
送TA红花
TA的回帖
南京的李工
禁言
(文坛精英)
PEPI: 15
应助: 5349
(副教授)
贵宾: 0.315
金币: 18017.3
散金: 12849
红花: 579
帖子: 11236
在线: 919.8小时
虫号: 3450490
注册: 2014-09-30
性别: GG
专业: 高分子助剂
【答案】应助回帖
感谢参与,应助指数 +1
是不是有杂质。240好象也有变化,要不再做个测试看下。
赞
一下
回复此楼
2楼
2014-11-30 20:59:24
已阅
回复此楼
关注TA
给TA发消息
送TA红花
TA的回帖
boukephalas
金虫
(小有名气)
应助: 1
(幼儿园)
金币: 1108.9
散金: 370
红花: 1
帖子: 234
在线: 99小时
虫号: 1247274
注册: 2011-03-28
性别: GG
专业: 功能与智能高分子
引用回帖:
2楼
:
Originally posted by
南京的李工
at 2014-11-30 20:59:24
是不是有杂质。240好象也有变化,要不再做个测试看下。
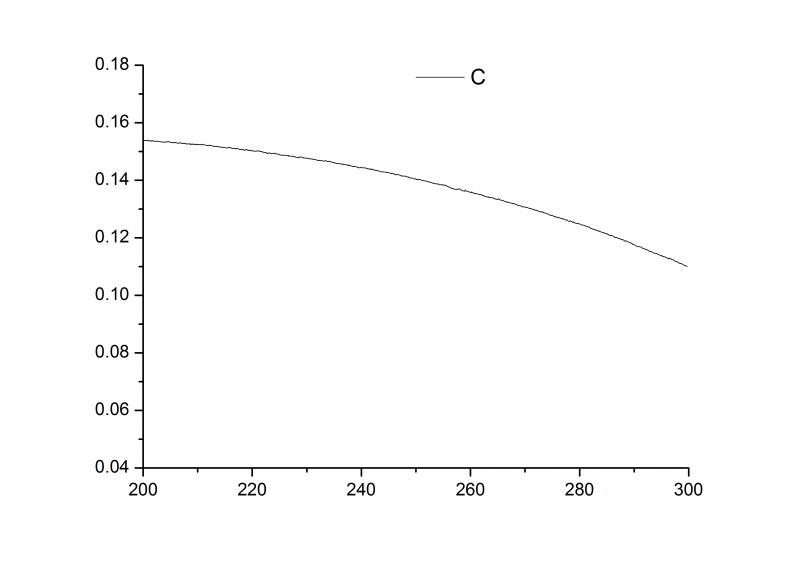
谢谢回复,我是先测的DSC, 仪器限制只能测到300度,曲线截取200~300度如图,没有发现明显玻璃化转变,我采用一步法做聚酰亚胺,单体等摩尔比,是不会有杂质产生的,而且测了GPC,PDI1.7也不算大的
1234.png
赞
一下
回复此楼
Abeardwelllatheredishalfshaved
3楼
2014-12-01 12:30:51
已阅
回复此楼
关注TA
给TA发消息
送TA红花
TA的回帖
相关版块跳转
有机交流
有机资源
高分子
无机/物化
分析
催化
工艺技术
化工设备
石油化工
精细化工
电化学
环境
SciFinder/Reaxys
我要订阅楼主
boukephalas
的主题更新
3
1/1
返回列表
如果回帖内容含有宣传信息,请如实选中。否则帐号将被全论坛禁言
普通表情
龙
兔
虎
猫
百度网盘
|
360云盘
|
千易网盘
|
华为网盘
在新窗口页面中打开自己喜欢的网盘网站,将文件上传后,然后将下载链接复制到帖子内容中就可以了。
信息提示
关闭
请填处理意见
关闭
确定