| 查看: 1238 | 回复: 6 | ||||
[求助]
数学大神看过来 已有2人参与
|
数学问题集锦 |
» 猜你喜欢
售SCI一区文章,我:8 O5 51O 54,科目齐全
已经有4人回复
售SCI一区文章,我:8 O5 51O 54,科目齐全
已经有4人回复
售SCI一区文章,我:8 O5 51O 54,科目齐全
已经有4人回复
售SCI一区文章,我:8 O5 51O 54,科目齐全
已经有5人回复
售SCI一区文章,我:8 O5 51O 54,科目齐全
已经有5人回复
有院领导为了换新车,用横向课题经费买了俩车
已经有7人回复
售SCI一区文章,我:8 O5 51O 54,科目齐全
已经有5人回复
售SCI一区文章,我:8 O5 51O 54,科目齐全
已经有6人回复
售SCI一区文章,我:8 O5 51O 54,科目齐全
已经有6人回复
售SCI一区文章,我:8 O5 51O 54,科目齐全
已经有6人回复
» 本主题相关价值贴推荐,对您同样有帮助:
跪求大神解答一个原函数问题!!
已经有6人回复
考研的朋友看过来啊
已经有14人回复
请问,“] [” 这种区间符号具体表示什么含义?
已经有5人回复
数学全书上一个积分过程的详细思维过程?
已经有9人回复
大学生数学竞赛微分方程专题
已经有66人回复
各位大神帮我辨认下面的植物分别叫什么?多谢!
已经有14人回复
求助大神有关pc12培养
已经有9人回复
请各位大神进来看看吧~
已经有4人回复
控制大神来看下……
已经有14人回复
各位大神看过来~ ARCGIS菜鸟跪求各位高手解答
已经有14人回复
额,最近老是被这个问题困扰,大神们,求助啊!!!!
已经有8人回复
请大神帮忙看看这是什么植物?????
已经有6人回复
现有机械类综述一篇,求各路大神投稿推荐!~
已经有16人回复
请大神帮忙做个量子力学题目
已经有3人回复
求助液压大神!!
已经有5人回复
做阻燃的大神们看过来 帮帮忙啊!
已经有14人回复
请投过Chinese Optics Letters的大神以及光学界的大神们看过来!
已经有17人回复
跪求大神帮看matlab小程序
已经有3人回复
wittig 试剂制备!大神们看过来
已经有11人回复
请问大神考研资料信息???
已经有8人回复
大神看过来,关于紫外分光光度计使用的若干问题,求赐教,求交流
已经有12人回复
《生物信息学》的名词解释 求帮帮 30金币奉上
已经有4人回复

2楼2014-11-13 17:52:49

3楼2014-11-13 21:57:44
zaq123321
专家顾问 (著名写手)
-

专家经验: +342 - 数学EPI: 6
- 应助: 298 (大学生)
- 贵宾: 0.247
- 金币: 11336.3
- 红花: 29
- 帖子: 1221
- 在线: 538.8小时
- 虫号: 405284
- 注册: 2007-06-17
- 性别: MM
- 专业: 生物大分子结构与功能
- 管辖: 数学
【答案】应助回帖
感谢参与,应助指数 +1
|
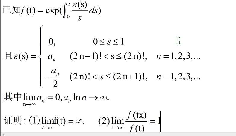
Try 1). lim_(t->\infty) f(t) = e^(\int_0^(+\infty) \frac{\epsilon(s)}{s} ds) \int_0^(+\infty) \frac{\epsilon(s)}{s} ds by part integral formula getting \epsilon(s)ln(s)|_0^\infty---> \epsion(\infty)ln(\infty) e^(\epsion(\infty)ln(\infty)) --> e^0 x e^(ln(\infty)) --> \infty Can you check whether it make sense ? |

4楼2014-11-14 02:02:33
zaq123321
专家顾问 (著名写手)
-

专家经验: +342 - 数学EPI: 6
- 应助: 298 (大学生)
- 贵宾: 0.247
- 金币: 11336.3
- 红花: 29
- 帖子: 1221
- 在线: 538.8小时
- 虫号: 405284
- 注册: 2007-06-17
- 性别: MM
- 专业: 生物大分子结构与功能
- 管辖: 数学

5楼2014-11-14 02:04:37
hank612
至尊木虫 (著名写手)
- 数学EPI: 14
- 应助: 225 (大学生)
- 金币: 14270.6
- 散金: 1055
- 红花: 95
- 帖子: 1526
- 在线: 1375.8小时
- 虫号: 2530333
- 注册: 2013-07-03
- 性别: GG
- 专业: 理论和计算化学

6楼2014-11-14 05:09:17

7楼2014-11-14 12:21:17













回复此楼
zzrqyr