| 查看: 630 | 回复: 2 | ||
dayovan金虫 (小有名气)
|
[求助]
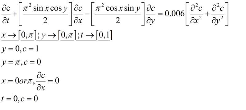
格子Boltzmann法求解对流扩散方程
|
|
![]() |
||
|
|
||
|
||
|
2楼2014-11-05 10:49:27
|
|
|
|
||
|
3楼2014-11-05 11:03:11
|
|













回复此楼