| ²é¿´: 3104 | »Ø¸´: 10 | ||
dayovan½ð³æ (СÓÐÃûÆø)
|
[ÇóÖú]
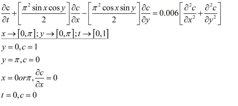
LBM±à³ÌÇó½â¶þά·ÇÎÈ̬¶ÔÁ÷À©É¢·½³ÌÒÑÓÐ2È˲ÎÓë
|
|
|
ÓÃÆäËû·½·¨Ò²¿ÉÒÔ£¬ÈçÓÐÏÞÔª£¬ÓÐÏÞÌå»ý£¬ÓÐÏÞ²î·ÖµÈ£¡£¡£¡£¡£¡£¡£¡£¡Ð»Ð» ¶þÎ¬ÇøÓò¶ÔÁ÷À©É¢»úÖÆÑо¿½çÃæ´«Öʶ¯Á¦Ñ§ÎÞÒò´Î·½³Ì.jpg |
» ²ÂÄãϲ»¶
Çó¹ú¼Ê»áÒéÍøÕ¾
ÒѾÓÐ1È˻ظ´
ÇóȡһЩ¹ØÓÚÄÉÃײÄÁϺÍÄÉÃ×¼¼ÊõÏà¹ØµÄÓ¢ÎÄPPT¡£
ÒѾÓÐ0È˻ظ´
ÎïÀíѧIÂÛÎÄÈóÉ«/·ÒëÔõôÊÕ·Ñ?
ÒѾÓÐ161È˻ظ´
¡¾¸´µ©´óѧ¡¿¶þά²ÄÁÏ·½ÏòÕÐÊÕ2026Ä격ʿÑо¿Éú1Ãû
ÒѾÓÐ0È˻ظ´
±±¾©ÄÉÃ×ÄÜÔ´ÓëϵͳÑо¿Ëù ÍõÖÐÁÖԺʿ/²ÜÄÏÓ±Ñо¿Ô±¿ÎÌâ×é2026¼¶Ë¶/²©/²©ºóÕÐÉú
ÒѾÓÐ10È˻ظ´
ºÉÀ¼Utrecht University³¬¿ìÌ«ºÕ×ȹâÆ×Íõº£½ÌÊÚ¿ÎÌâÕÐÊÕ2026 CSC²©Ê¿Éú
ÒѾÓÐ19È˻ظ´
·´Ìú´ÅÌåÖеĴÅÐÔÇл»£ºÁ½ÖÖ²»Í¬µÄ»úÖÆÒѳɹ¦¿ÉÊÓ»¯
ÒѾÓÐ0È˻ظ´
26Éê²©ÍÆ¼ö£ºÄϾ©º½¿Õº½Ìì´óѧ¹ú¼ÊÇ°ÑØÔº¹âѧ·½ÏòÕÐÊÕ²©Ê¿Éú£¡
ÒѾÓÐ0È˻ظ´
Çó±ê×¼·ÛÄ©ÑÜÉ俨ºÅ ICDD 01-076-1802
ÒѾÓÐ0È˻ظ´

asiayazhou
½ð³æ (ÕýʽдÊÖ)
- Ó¦Öú: 3 (Ó×¶ùÔ°)
- ½ð±Ò: 994.1
- Ìû×Ó: 890
- ÔÚÏß: 87.4Сʱ
- ³æºÅ: 2561592
- ×¢²á: 2013-07-23
- ÐÔ±ð: GG
- רҵ: Ë®ÎĵØÖÊѧ(º¬µØÈȵØÖÊѧ)
¡¾´ð°¸¡¿Ó¦Öú»ØÌû
¡ï ¡ï ¡ï ¡ï ¡ï ¡ï ¡ï ¡ï ¡ï ¡ï ¡ï ¡ï ¡ï ¡ï ¡ï ¡ï ¡ï ¡ï ¡ï ¡ï ¡ï ¡ï ¡ï ¡ï ¡ï ¡ï ¡ï ¡ï ¡ï ¡ï ¡ï ¡ï ¡ï ¡ï ¡ï ¡ï ¡ï ¡ï ¡ï ¡ï
¸Ðл²ÎÓ룬ӦÖúÖ¸Êý +1
dayovan: ½ð±Ò+40, ¡ï¡ï¡ïºÜÓаïÖú, ÄÜÓÃLBM±à³Ì¸üºÃ 2014-09-04 09:30:55
¸Ðл²ÎÓ룬ӦÖúÖ¸Êý +1
dayovan: ½ð±Ò+40, ¡ï¡ï¡ïºÜÓаïÖú, ÄÜÓÃLBM±à³Ì¸üºÃ 2014-09-04 09:30:55
|
ÎÒÓÃÓÐÏÞ²î·ÖËãºÃÁË£¬MATLAB³ÌÐò¼û£ºÁ´½Ó: http://pan.baidu.com/s/1GnHVK ÃÜÂë: yte6 Çë²éÊÕ¡£Ð»Ð»£¡ ![]() |

4Â¥2014-09-03 21:03:39
zhp-jxu
ľ³æ (СÓÐÃûÆø)
- Ó¦Öú: 7 (Ó×¶ùÔ°)
- ½ð±Ò: 2292.3
- É¢½ð: 18
- ºì»¨: 1
- Ìû×Ó: 73
- ÔÚÏß: 438.3Сʱ
- ³æºÅ: 1587212
- ×¢²á: 2012-01-26
- ÐÔ±ð: GG
- רҵ: ¼ÆËãÊýѧÓë¿ÆÑ§¹¤³Ì¼ÆËã
¡¾´ð°¸¡¿Ó¦Öú»ØÌû
¡ï ¡ï ¡ï ¡ï ¡ï ¡ï ¡ï ¡ï ¡ï ¡ï ¡ï ¡ï ¡ï ¡ï ¡ï ¡ï ¡ï ¡ï ¡ï ¡ï ¡ï ¡ï ¡ï ¡ï ¡ï ¡ï ¡ï ¡ï ¡ï ¡ï ¡ï ¡ï ¡ï ¡ï ¡ï ¡ï ¡ï ¡ï ¡ï ¡ï ¡ï ¡ï ¡ï ¡ï ¡ï ¡ï ¡ï ¡ï ¡ï ¡ï
dayovan: ½ð±Ò+50, ¡ï¡ï¡ïºÜÓаïÖú 2015-03-29 10:29:41
dayovan: ½ð±Ò+50, ¡ï¡ï¡ïºÜÓаïÖú 2015-03-29 10:29:41
|
Ò»½×µ¼ÊýÓ¦¸ÃÓÃÓ·çÀëÉ¢¸ñʽ£¬Ð§¹ûÓÐÃ÷ÏÔ¸ÄÉÆ clc clear delta_x=pi/100; delta_y=pi/100; delta_t=0.001;%¶¨Òåʱ¼ä²½³¤£» x=0:delta_x:pi; y=0:delta_y:pi; t=0; [xx,yy]=meshgrid(x,y); N=102; c_new=zeros(N,N); c_old=zeros(N,N); for i = 1:N-1 for j = 1:N-1 p(i,j)=0.5*pi^2*sin(x(j))*cos(y(i)); q(i,j)=-0.5*pi^2*cos(x(j))*sin(y(i)); end end for j=1:N c_old(1, =1; end while t<=1 for i=2:N-1 for j=2:N-1 if p(i-1,j-1)>=0 div_x=(c_old(i,j)-c_old(i,j-1))/delta_x; else div_x=(c_old(i,j+1)-c_old(i,j))/delta_x; end if q(i-1,j-1)>=0 div_y=(c_old(i,j)-c_old(i-1,j))/delta_y; else div_y=(c_old(i+1,j)-c_old(i,j))/delta_y; end diffu=(c_old(i,j+1)+c_old(i,j-1)-2*c_old(i,j))/power(delta_x,2)+... (c_old(i+1,j)+c_old(i-1,j)-2*c_old(i,j))/power(delta_y,2); temp=0.006*diffu-q(i-1,j-1)*div_y-... p(i-1,j-1)*div_x; c_new(i,j)= c_old(i,j)+delta_t*temp; end end for j=1:N c_new(1,j)=1; c_new(N,j)=0; end for i=2:N-1 c_new(i,1)=1/3*(4*c_new(i,2)-c_new(i,3)); c_new(i,N)=1/3*(4*c_new(i,N-1)-c_new(i,N-2)); end for i=1:N for j=1:N c_old(i,j)=c_new(i,j); end end t=t+delta_t; for i=2:N-1 for j=2:N-1 c(i,j)=1/4*(c_new(i+1,j)+c_new(i-1,j)+c_new(i,j-1)+c_new(i,j+1)); end end c(1, =1;c(2:N-1,1)=1/3*(4*c(2:N-1,2)-c(2:N-1,3)); end figure('color','white'); surf(xx,yy,c); view(2) xlabel('x¡ªºá×ø±ê','fontsize',14) ylabel('y¡ª×Ý×ø±ê','fontsize',14') shading interp colorbar title('Ũ¶È³¡·Ö²¼','fontsize',14) |
7Â¥2015-03-28 16:47:25
yishichao
Òø³æ (СÓÐÃûÆø)
- Ó¦Öú: 2 (Ó×¶ùÔ°)
- ½ð±Ò: 228.4
- É¢½ð: 4
- Ìû×Ó: 53
- ÔÚÏß: 43.9Сʱ
- ³æºÅ: 2745040
- ×¢²á: 2013-10-22
- ÐÔ±ð: GG
- רҵ: ¼ÆËãÊýѧÓë¿ÆÑ§¹¤³Ì¼ÆËã
2Â¥2014-09-03 19:13:50
dayovan
½ð³æ (СÓÐÃûÆø)
- Ó¦Öú: 0 (Ó×¶ùÔ°)
- ½ð±Ò: 3069.2
- É¢½ð: 380
- Ìû×Ó: 228
- ÔÚÏß: 125.2Сʱ
- ³æºÅ: 2321676
- ×¢²á: 2013-03-05
- ÐÔ±ð: GG
- רҵ: ´«µÝ¹ý³Ì

3Â¥2014-09-03 19:57:46
dayovan
½ð³æ (СÓÐÃûÆø)
- Ó¦Öú: 0 (Ó×¶ùÔ°)
- ½ð±Ò: 3069.2
- É¢½ð: 380
- Ìû×Ó: 228
- ÔÚÏß: 125.2Сʱ
- ³æºÅ: 2321676
- ×¢²á: 2013-03-05
- ÐÔ±ð: GG
- רҵ: ´«µÝ¹ý³Ì

5Â¥2014-09-04 15:08:15
yishichao
Òø³æ (СÓÐÃûÆø)
- Ó¦Öú: 2 (Ó×¶ùÔ°)
- ½ð±Ò: 228.4
- É¢½ð: 4
- Ìû×Ó: 53
- ÔÚÏß: 43.9Сʱ
- ³æºÅ: 2745040
- ×¢²á: 2013-10-22
- ÐÔ±ð: GG
- רҵ: ¼ÆËãÊýѧÓë¿ÆÑ§¹¤³Ì¼ÆËã
6Â¥2014-09-05 08:13:40
dayovan
½ð³æ (СÓÐÃûÆø)
- Ó¦Öú: 0 (Ó×¶ùÔ°)
- ½ð±Ò: 3069.2
- É¢½ð: 380
- Ìû×Ó: 228
- ÔÚÏß: 125.2Сʱ
- ³æºÅ: 2321676
- ×¢²á: 2013-03-05
- ÐÔ±ð: GG
- רҵ: ´«µÝ¹ý³Ì

8Â¥2015-04-10 22:32:43
dayovan
½ð³æ (СÓÐÃûÆø)
- Ó¦Öú: 0 (Ó×¶ùÔ°)
- ½ð±Ò: 3069.2
- É¢½ð: 380
- Ìû×Ó: 228
- ÔÚÏß: 125.2Сʱ
- ³æºÅ: 2321676
- ×¢²á: 2013-03-05
- ÐÔ±ð: GG
- רҵ: ´«µÝ¹ý³Ì

9Â¥2015-04-10 22:34:49
zhp-jxu
ľ³æ (СÓÐÃûÆø)
- Ó¦Öú: 7 (Ó×¶ùÔ°)
- ½ð±Ò: 2292.3
- É¢½ð: 18
- ºì»¨: 1
- Ìû×Ó: 73
- ÔÚÏß: 438.3Сʱ
- ³æºÅ: 1587212
- ×¢²á: 2012-01-26
- ÐÔ±ð: GG
- רҵ: ¼ÆËãÊýѧÓë¿ÆÑ§¹¤³Ì¼ÆËã
10Â¥2015-04-11 10:22:12













»Ø¸´´ËÂ¥
=1; 