| 查看: 1212 | 回复: 9 | |||
lon91ong木虫 (初入文坛)
|
[求助]
继续求通项公式, 内详 已有2人参与
|
|
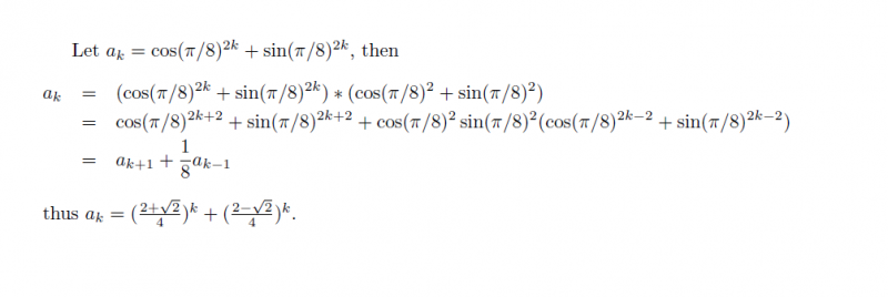
刚刚的那个帖子怪我没有说清楚,http://muchong.com/bbs/viewthread.php?tid=8070248 这里重新发帖提问 表达式: 刚才那贴的朋友给的解析表达式: 这个我用不上,我需要的是分数形式的表达式,如下面我算的前几项: 我算了前几项,1, 3/4, 5/8, 17/32, 29/64, 99/256 麻烦大侠再次出手,多谢了! |
» 猜你喜欢
面上可以超过30页吧?
已经有7人回复
网上报道青年教师午睡中猝死、熬夜猝死的越来越多,主要哪些原因引起的?
已经有5人回复
“人文社科而论,许多学术研究还没有达到民国时期的水平”
已经有6人回复
体制内长辈说体制内绝大部分一辈子在底层,如同你们一样大部分普通教师忙且收入低
已经有16人回复
版面费该交吗
已经有13人回复
为什么中国大学工科教授们水了那么多所谓的顶会顶刊,但还是做不出宇树机器人?
已经有10人回复
什么是人一生最重要的?
已经有4人回复
» 本主题相关价值贴推荐,对您同样有帮助:
求助,二阶数列求通项
已经有10人回复

blackshoes
木虫 (初入文坛)
- 应助: 7 (幼儿园)
- 金币: 3100.1
- 帖子: 44
- 在线: 264.9小时
- 虫号: 1532429
- 注册: 2011-12-11
- 性别: GG
- 专业: 概率论与随机分析
2楼2014-10-26 11:19:45
hank612
至尊木虫 (著名写手)
- 数学EPI: 14
- 应助: 225 (大学生)
- 金币: 14270.6
- 散金: 1055
- 红花: 95
- 帖子: 1526
- 在线: 1375.8小时
- 虫号: 2530333
- 注册: 2013-07-03
- 性别: GG
- 专业: 理论和计算化学

3楼2014-10-26 11:20:33
blackshoes
木虫 (初入文坛)
- 应助: 7 (幼儿园)
- 金币: 3100.1
- 帖子: 44
- 在线: 264.9小时
- 虫号: 1532429
- 注册: 2011-12-11
- 性别: GG
- 专业: 概率论与随机分析
4楼2014-10-26 11:22:21
feixiaolin
荣誉版主 (文坛精英)
-

专家经验: +518 - 应助: 942 (博后)
- 贵宾: 1.275
- 金币: 3430
- 散金: 58785
- 红花: 532
- 沙发: 11
- 帖子: 24215
- 在线: 2601.8小时
- 虫号: 2139575
- 注册: 2012-11-21
- 专业: 光学信息获取与处理
- 管辖: 数学
5楼2014-10-26 12:07:23
Edstrayer
版主 (著名写手)
方寸斗室小天地正气迷漫大世界
- 数学EPI: 7
- 应助: 157 (高中生)
- 贵宾: 0.927
- 金币: 9349.6
- 散金: 4503
- 红花: 77
- 沙发: 2
- 帖子: 2745
- 在线: 1465.6小时
- 虫号: 3086598
- 注册: 2014-03-25
- 管辖: 数学

6楼2014-10-26 12:43:33
Edstrayer
版主 (著名写手)
方寸斗室小天地正气迷漫大世界
- 数学EPI: 7
- 应助: 157 (高中生)
- 贵宾: 0.927
- 金币: 9349.6
- 散金: 4503
- 红花: 77
- 沙发: 2
- 帖子: 2745
- 在线: 1465.6小时
- 虫号: 3086598
- 注册: 2014-03-25
- 管辖: 数学

7楼2014-10-26 13:02:45
lon91ong
木虫 (初入文坛)
- 应助: 0 (幼儿园)
- 金币: 3771.1
- 散金: 18
- 帖子: 47
- 在线: 28.7小时
- 虫号: 597382
- 注册: 2008-09-09
- 性别: GG
- 专业: 声学

8楼2014-10-26 14:32:23
lon91ong
木虫 (初入文坛)
- 应助: 0 (幼儿园)
- 金币: 3771.1
- 散金: 18
- 帖子: 47
- 在线: 28.7小时
- 虫号: 597382
- 注册: 2008-09-09
- 性别: GG
- 专业: 声学

9楼2014-10-26 14:39:24
lon91ong
木虫 (初入文坛)
- 应助: 0 (幼儿园)
- 金币: 3771.1
- 散金: 18
- 帖子: 47
- 在线: 28.7小时
- 虫号: 597382
- 注册: 2008-09-09
- 性别: GG
- 专业: 声学

10楼2014-10-26 21:59:23













回复此楼