| 查看: 929 | 回复: 8 | ||||
| 本帖产生 1 个 博学EPI ,点击这里进行查看 | ||||
唯快不破木虫 (小有名气)
|
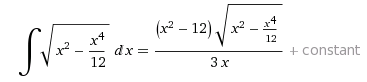
[求助]
求解方程
|
|||
![]() |
||||
|
|
||||
| 回帖置顶 ( 共有1个 ) | ||||
feixiaolin荣誉版主 (文坛精英)
|
【答案】应助回帖
★ ★ ★ ★ ★ ★ ★ ★ ★ ★ ★ ★ ★ ★ ★ ★ ★ ★ ★ ★ ★ ★ ★ ★ ★ ★ ★ ★ ★ ★ ★ ★ ★ ★ ★ ★ ★ ★ ★ ★ ★ ★ ★ ★ ★ ★ ★ ★ ★ ★ ★ ★ ...
唯快不破: 金币+100, 博学EPI+1, ★★★★★最佳答案 2014-10-29 14:05:34
|
|||
|
5楼2014-10-25 17:58:45
|
|
|||
| 普通回帖 | ||||
hank612至尊木虫 (著名写手)
|
||||
![]() |
||||
|
2楼2014-10-23 13:26:51
|
|
|||
hank612至尊木虫 (著名写手)
|
||||
![]() |
||||
|
3楼2014-10-24 04:50:55
|
|
|||
suckseed18金虫 (正式写手)
|
||||
|
4楼2014-10-24 22:21:21
|
|
|||
feixiaolin荣誉版主 (文坛精英)
|
||||
|
6楼2014-10-26 09:07:37
|
|
|||
唯快不破木虫 (小有名气)
|
||||
![]() |
||||
|
7楼2014-10-28 18:21:46
|
|
|||
唯快不破木虫 (小有名气)
|
||||
![]() |
||||
|
8楼2014-10-28 18:31:29
|
|
|||
feixiaolin荣誉版主 (文坛精英)
|
||||
|
9楼2014-10-28 18:37:14
|
|
|||














回复此楼
