| ²é¿´: 959 | »Ø¸´: 4 | ||
Áè·ç7388Ìú³æ (ÕýʽдÊÖ)
|
[½»Á÷]
·Ö×ÓÁ¿¾ØµÄ·½·¨½â·½³Ì---------±à³ÌÎÊÌâ
|
» ±¾Ö÷ÌâÏà¹Ø¼ÛÖµÌùÍÆ¼ö£¬¶ÔÄúͬÑùÓаïÖú:
ÇóÖú m06 ²ËÄñÇóÖ¸½Ì gaussian
ÒѾÓÐ4È˻ظ´
ʹÓÃMultiwfn·ÖÎöGaussian09µÄ¼«»¯ÂÊ¡¢µÚÒ»³¬¼«»¯ÂʵÄÊä³ö
ÒѾÓÐ12È˻ظ´
×¢²á»¯Ñ§¹¤³Ìʦ¿¼ÊÔ¼òµ¥½éÉÜ
ÒѾÓÐ68È˻ظ´
ÐÂÊÖÇóÖú£¬Á÷ÌåÁ¦Ñ§
ÒѾÓÐ4È˻ظ´
ÇóÖúÓÃmatlab»òÕߣ¨1st0pt)±à³Ì½â·½³Ì×é
ÒѾÓÐ3È˻ظ´
ÇóºÍ·ûºÅÏà³ËµÄ·½³ÌÔõô±à³ÌÇóÊýÖµ½â
ÒѾÓÐ7È˻ظ´
¡¾¸ßÇå°æ¡¿Á½±¾´ÓÊ¡¶¹â×Ó¾§Ì塷ѧϰºÍÑо¿µÄ±Ø±¸½Ì³Ì
ÒѾÓÐ462È˻ظ´
MATLAB³ÌÐòµ÷ÊÔ
ÒѾÓÐ9È˻ظ´
ÇóÖú´óÉñ£ºÒª×ö²ÎÊý»Ø¹é£¬fortranºÍmatlab£¬¸ÃÑ¡ÔñÄĸö£¿
ÒѾÓÐ14È˻ظ´
Çë½Ì·Ö×ÓÁ¦Ñ§Óë·Ö×Ó¶¯Á¦Ñ§µÄÇø±ð
ÒѾÓÐ14È˻ظ´
Çó°ï棬¹ØÓÚº¬ÓÐbesselº¯ÊýµÄ·½³ÌµÄ±à³ÌÇó½âÎÊÌâ
ÒѾÓÐ11È˻ظ´
¡¾ÇóÖú¡¿fortranÇó½â¾ØÕó
ÒѾÓÐ7È˻ظ´
¡¾ÇóÖú¡¿ÀÆÕÀ˹Çó½â~~~
ÒѾÓÐ8È˻ظ´
¡¾ÇóÖú¡¿siesta ¼ÆËãDOSÓ¦¸Ã×¢ÒâʲôÎÊÌâ
ÒѾÓÐ3È˻ظ´
¡¾ÇóÖú¡¿ÈçºÎÓüò½àµÄÓïÑÔ½âÊͱ¾Õ÷̬
ÒѾÓÐ28È˻ظ´
379631818
Ìú¸Ëľ³æ (ÖøÃûдÊÖ)
- ·ÂÕæEPI: 1
- Ó¦Öú: 12 (СѧÉú)
- ½ð±Ò: 9526.9
- É¢½ð: 80
- ºì»¨: 7
- Ìû×Ó: 1548
- ÔÚÏß: 568.8Сʱ
- ³æºÅ: 555522
- ×¢²á: 2008-05-09
- רҵ: Äý¾Û̬ÎïÐÔ II £ºµç×ӽṹ
¡ï ¡ï
Сľ³æ: ½ð±Ò+0.5, ¸ø¸öºì°ü£¬Ð»Ð»»ØÌû
Áè·ç7388: ½ð±Ò+1 2014-10-14 12:07:17
Сľ³æ: ½ð±Ò+0.5, ¸ø¸öºì°ü£¬Ð»Ð»»ØÌû
Áè·ç7388: ½ð±Ò+1 2014-10-14 12:07:17
| Õâ¸öÄѶÈÌ«´óÁ˰ɣ¬ÄãÏȰѳÌÐò¼ÈëÍê±Ï£¬±ðÈ˰ï׿ì²éһϴíÎóµÄÔÒòµ½ÊÇ¿ÉÒÔ |
2Â¥2014-10-14 08:09:27
Áè·ç7388
Ìú³æ (ÕýʽдÊÖ)
- Ó¦Öú: 4 (Ó×¶ùÔ°)
- ½ð±Ò: 1153.2
- É¢½ð: 72
- ºì»¨: 5
- Ìû×Ó: 573
- ÔÚÏß: 160.6Сʱ
- ³æºÅ: 759985
- ×¢²á: 2009-04-29
- רҵ: »¯Ñ§·´Ó¦¹¤³Ì
3Â¥2014-10-14 12:07:32
Áè·ç7388
Ìú³æ (ÕýʽдÊÖ)
- Ó¦Öú: 4 (Ó×¶ùÔ°)
- ½ð±Ò: 1153.2
- É¢½ð: 72
- ºì»¨: 5
- Ìû×Ó: 573
- ÔÚÏß: 160.6Сʱ
- ³æºÅ: 759985
- ×¢²á: 2009-04-29
- רҵ: »¯Ñ§·´Ó¦¹¤³Ì
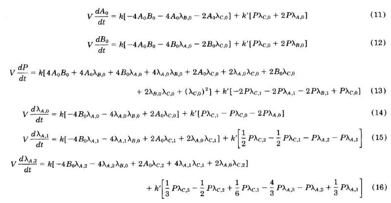
| ÏÂÃæ¸½ÉÏÎҵĴúÂ룬Çó´óÉñ¸øÖ¸µ¼ |
» ±¾Ìû¸½¼þ×ÊÔ´Áбí
-
»¶Ó¼à¶½ºÍ·´À¡£ºÐ¡Ä¾³æ½öÌṩ½»Á÷ƽ̨£¬²»¶Ô¸ÃÄÚÈݸºÔð¡£
±¾ÄÚÈÝÓÉÓû§×ÔÖ÷·¢²¼£¬Èç¹ûÆäÄÚÈÝÉæ¼°µ½ÖªÊ¶²úȨÎÊÌ⣬ÆäÔðÈÎÔÚÓÚÓû§±¾ÈË£¬Èç¶Ô°æÈ¨ÓÐÒìÒ飬ÇëÁªÏµÓÊÏ䣺xiaomuchong@tal.com - ¸½¼þ 1 : Moledydt.m
2014-10-14 12:15:29, 4.55 K
4Â¥2014-10-14 12:16:33
Áè·ç7388
Ìú³æ (ÕýʽдÊÖ)
- Ó¦Öú: 4 (Ó×¶ùÔ°)
- ½ð±Ò: 1153.2
- É¢½ð: 72
- ºì»¨: 5
- Ìû×Ó: 573
- ÔÚÏß: 160.6Сʱ
- ³æºÅ: 759985
- ×¢²á: 2009-04-29
- רҵ: »¯Ñ§·´Ó¦¹¤³Ì
5Â¥2014-11-08 13:55:41














»Ø¸´´ËÂ¥