Znn3bq.jpeg
²é¿´: 2212  |  »Ø¸´: 3

26245

½ð³æ (³õÈëÎÄ̳)


[ÇóÖú] Îü¸½¶¯Á¦Ñ§Ê±¼äÇúÏßΪʲô»áÓÐÖͺó ÒÑÓÐ2È˲ÎÓë

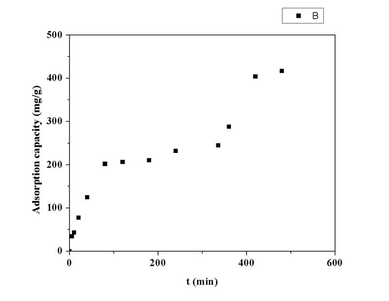
ÖØ½ðÊôÎü¸½¶¯Á¦Ñ§ÊµÑ飬Ϊʲô»á³öÏÖÖͺóÏÖÏó£¬ÓÐûÓпÉÄÜÊÇתËÙ¹ý´óÔ­Òò£¿ÓÐûÓж¯Á¦Ñ§Ä£ÐÍÄܹ»½âÊ͵Ä

Îü¸½¶¯Á¦Ñ§Ê±¼äÇúÏßΪʲô»áÓÐÖͺó
Graph1.jpg
»Ø¸´´ËÂ¥

» ²ÂÄãϲ»¶

» ±¾Ö÷ÌâÏà¹Ø¼ÛÖµÌùÍÆ¼ö£¬¶ÔÄúͬÑùÓаïÖú:

ÒÑÔÄ   »Ø¸´´ËÂ¥   ¹Ø×¢TA ¸øTA·¢ÏûÏ¢ ËÍTAºì»¨ TAµÄ»ØÌû

sheihk

ľ³æ (СÓÐÃûÆø)

¡¾´ð°¸¡¿Ó¦Öú»ØÌû

¡ï ¡ï
¸Ðл²ÎÓ룬ӦÖúÖ¸Êý +1
26245: ½ð±Ò+2, ¡ïÓаïÖú 2014-10-10 08:12:57
ûÓÐÕâÑùµÄÄ£ÐÍ£¬ÕâÖÖÊý¾ÝûÓÐÔÓÖ¾»á·¢±í£¬Ö»ÄÜÖØ×ö¡£
2Â¥2014-10-06 19:56:35
ÒÑÔÄ   »Ø¸´´ËÂ¥   ¹Ø×¢TA ¸øTA·¢ÏûÏ¢ ËÍTAºì»¨ TAµÄ»ØÌû

tianzenmele

ÖÁ×ðľ³æ (ÕýʽдÊÖ)

¡¾´ð°¸¡¿Ó¦Öú»ØÌû

¡ï ¡ï ¡ï ¡ï
¸Ðл²ÎÓ룬ӦÖúÖ¸Êý +1
26245: ½ð±Ò+4, ¡ïÓаïÖú 2014-10-10 08:15:01
Èç¹û²»ÊÇʵÑé±¾ÉíÎó²îµÄÎÊÌâ¡£ÕâÊÇÃ÷ÏԵġ°S¡±ÐÍÎü¸½ÇúÏß¡£ÎÒ¾õµÃ²»ÊÇËùνµÄ¡°Îü¸½Öͺ󡰡£
Ëæ×ÅÎü¸½µÄ½øÐУ¬Îü¸½µãλÖð½¥±¥ºÍ¡£µ«Ëæ×ÅÎü¸½µÄ±¥ºÍ£¬¿ÉÄܲúÉúÁËеÄÎü¸½Î»µã£¬ÓÚÊÇÔö¼ÓÎü¸½¡£ÖÁÓÚÆäÖеĻúÀí£¬Äã¿ÉÒÔ³¯×ÅÕâ¸ö·½ÏòÊÔÊÔ¡£
3Â¥2014-10-06 20:51:03
ÒÑÔÄ   »Ø¸´´ËÂ¥   ¹Ø×¢TA ¸øTA·¢ÏûÏ¢ ËÍTAºì»¨ TAµÄ»ØÌû

ÃÎÖ®÷ʨDħħ

Ìú¸Ëľ³æ (ÖøÃûдÊÖ)

ÖØ×öÒ²ÊÇÕâÖÖµÄʵÑéÊý¾ÝÕ¦°ì
²»¶ÏÌá¸ßÈÏÖª£¬±£³Ö½ø²½
4Â¥2022-03-09 17:43:28
ÒÑÔÄ   »Ø¸´´ËÂ¥   ¹Ø×¢TA ¸øTA·¢ÏûÏ¢ ËÍTAºì»¨ TAµÄ»ØÌû
Ïà¹Ø°æ¿éÌø×ª ÎÒÒª¶©ÔÄÂ¥Ö÷ 26245 µÄÖ÷Ìâ¸üÐÂ
×î¾ßÈËÆøÈÈÌûÍÆ¼ö [²é¿´È«²¿] ×÷Õß »Ø/¿´ ×îºó·¢±í
[¿¼ÑÐ] 327Çóµ÷¼Á +5 ʰ¹âÈÎȾ 2026-04-06 5/250 2026-04-12 02:29 by Çï¶¹²ËÑ¿
[¿¼ÑÐ] 291Çóµ÷¼Á +7 ¹ØÒä±±. 2026-04-11 7/350 2026-04-11 23:48 by baobaoye
[¿¼ÑÐ] 295·ÖÇóµ÷¼Á +9 ?ÒªÉϰ¶? 2026-04-10 9/450 2026-04-11 10:48 by qingpingzhu
[¿¼ÑÐ] ²ÄÁÏÀà284µ÷¼Á +40 Ïë»»ÊÖ»ú²»Ïë½âÊ 2026-04-08 48/2400 2026-04-10 23:28 by 314126402
[¿¼ÑÐ] ±¾¿ÆÎ÷¹¤´ó 324Çóµ÷¼Á +4 wysyjs25 2026-04-10 4/200 2026-04-10 20:00 by À´¿´Á÷ÐÇÓê10
[¿¼ÑÐ] Çൺ¿Æ¼¼´óѧ²ÄÁÏѧԺ£¬»·¾³Ñ§Ôºµ÷¼Á²¹Â¼4ÔÂ10ÈÕÒÔǰ¶¼¿ÉÒÔ +3 1Çà¿Æ´ó¡£ 2026-04-09 5/250 2026-04-10 09:58 by ôæôæÒ»ÊéÉú
[¿¼ÑÐ] µ÷¼Á +24 ²»·ê´º 2026-04-07 25/1250 2026-04-10 09:39 by 690616278
[¿¼ÑÐ] 301Çóµ÷¼Á +6 ¾²¾²ÏëÏë 2026-04-05 6/300 2026-04-10 09:15 by Delta2012
[¿¼ÑÐ] Çóµ÷¼Á +15 ÕÅzic 2026-04-05 16/800 2026-04-10 08:12 by kangsm
[¿¼ÑÐ] 278Çóµ÷¼Á +27 ·¶æÃÄÈ 2026-04-07 31/1550 2026-04-09 20:49 by zhouxiaoyu
[¿¼ÑÐ] 0703»¯Ñ§Çóµ÷¼Á +21 ²»ÖªÃûµÄСئ 2026-04-08 21/1050 2026-04-09 18:55 by l_paradox
[¿¼ÑÐ] Ò»Ö¾Ô¸Öйú¿ÆÑ§ÔºÉϺ£ÓлúËù£¬Óлú»¯Ñ§356·ÖÕÒµ÷¼Á +11 Nadiums 2026-04-09 11/550 2026-04-09 18:04 by lijunpoly
[¿¼ÑÐ] 1U¶Ü¼ÇµÃ¼ÇµÃ¾Í +9 sanjin020722 2026-04-08 10/500 2026-04-09 14:11 by Ê«Óë×ÔÓÉ
[¿¼ÑÐ] 086000ÉúÎïÓëÒ½Ò©µ÷¼Á +7 awwwwwooooo 2026-04-09 7/350 2026-04-09 13:31 by ±±¼«159263
[¿¼ÑÐ] 0860004 Çóµ÷¼Á 309·Ö +6 Yin DY 2026-04-09 6/300 2026-04-09 10:19 by °¡Àî999
[¿¼ÑÐ] 275 Çóµ÷¼Á +8 Lei812514 2026-04-07 8/400 2026-04-08 12:46 by chemisry
[¿¼ÑÐ] µ÷¼Á +4 mcbbc 2026-04-06 5/250 2026-04-07 12:33 by upczlm1989
[¿¼ÑÐ] 312Çóµ÷¼Á +4 LR6 2026-04-06 4/200 2026-04-07 08:42 by jp9609
[¿¼ÑÐ] µÚÒ»Ö¾Ô¸¶«ÄÏ´óѧÎïÀí313£¬ÓпÆÑоºÈü»ñ½±¾­Àú£¬Ï£ÍûÎïÀí¸´ÊÔµ÷¼Á +3 ÂíÄÚ³È 2026-04-05 3/150 2026-04-06 10:32 by À¶ÔÆË¼Óê
[¿¼ÑÐ] 332Çóµ÷¼Á +17 ССÃÏ... 2026-04-05 18/900 2026-04-06 09:51 by À¶ÔÆË¼Óê
ÐÅÏ¢Ìáʾ
ÇëÌî´¦ÀíÒâ¼û