| 查看: 3126 | 回复: 13 | |||
[交流]
解吸吸附滞后环不明显说明什么问题? 已有6人参与
|
|||
|
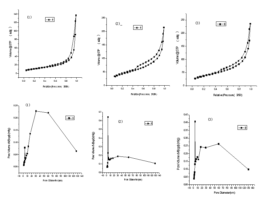
该样品的液氮吸附实验图如下: (1)解吸吸附滞后环不明显说明什么问题? (2)孔径分布是不是属于介孔范围? (3)属于物理吸附还是化学吸附? 新建 BMP 图像.GIF [ Last edited by 阿庆1982 on 2012-9-17 at 16:35 ] |
» 猜你喜欢
国家级人才课题组招收2026年化学,材料化工 调剂生
已经有0人回复
国家级人才团体课题组招收2026届化学类学硕,专硕。
已经有1人回复
化学工程及工业化学论文润色/翻译怎么收费?
已经有138人回复
河南理工大学绿色催化课题组招收材料,化工,化学等方向研究生
已经有0人回复
国家级人才课题组招研究生 (催化方向)调剂
已经有13人回复
招收硕士研究生
已经有21人回复
[天津]中国民航大学 招收材料类研究生
已经有0人回复
材料与化工专业有大量调剂指标
已经有7人回复
国家大人才课题组招收化学、材料化工类2026年调剂生
已经有0人回复
085600调剂
已经有2人回复
浙师大化与材学院2026年有大量硕士研究生调剂名额 (线上 调剂)
已经有6人回复
» 本主题相关价值贴推荐,对您同样有帮助:
各位大侠,帮忙看一下这个氧化铝的吸附解吸曲线滞后环是什么型的啊,孔型咋样啊~~谢谢
已经有12人回复
求助!!!氨氮吸附实验没有吸附反而一直解吸,求高手指点!!
已经有5人回复
电极上吸附物质的解吸附方法
已经有7人回复
产物被硅胶吸附了,怎么解吸附?
已经有15人回复
低温静态容量法氮气吸附的孔径分布和滞后环说明了什么问题
已经有3人回复
氮气吸附脱附曲线中滞后环的大小说明什么含义?
已经有9人回复
有人做污染物的吸附解吸吗??
已经有14人回复
【求助】关于吸附滞后环的几种分类
已经有11人回复

xhtangxh
木虫 (著名写手)
有木有虫
- C-EPI: 7
- 应助: 773 (博后)
- 金币: 17832.4
- 红花: 107
- 帖子: 2676
- 在线: 599.3小时
- 虫号: 428580
- 注册: 2007-08-04
- 专业: 催化化学
★ ★ ★ ★
小木虫: 金币+0.5, 给个红包,谢谢回帖
dy322112: 金币+3, 多谢热心。。。六方介孔是有明显H4滞后环的 2012-09-19 20:06:14
小木虫: 金币+0.5, 给个红包,谢谢回帖
dy322112: 金币+3, 多谢热心。。。六方介孔是有明显H4滞后环的 2012-09-19 20:06:14
|
(1)解吸吸附滞后环不明显说明什么问题? 有无滞后环与是否有介孔无必然联系。滞后环形状一般认为与孔形状有关,开放性差、孔壁粗糙、孔结构非圆柱形(孔截面直径不均一),则滞后环越明显,如墨水瓶状孔会有明显的滞后环,而圆柱体孔基本无滞后环。 (2)孔径分布是不是属于介孔范围? 说图1存在介孔很牵强。一般存在初级结构介孔时吸附量往往较高。图2、3存在介孔,但主要是次级结构孔,即颗粒堆积形成的孔隙。 (3)属于物理吸附还是化学吸附? 无法判断。要想弄清是否存在化学吸附,宜用化学吸附仪测试。物理吸附与化学吸附没有严格的界限,极低压强下的表面相互作用有时是很强的,显示出类似化学作用的吸附。 |
5楼2012-09-18 10:27:26
M.O.X.
木虫 (正式写手)
- 应助: 2 (幼儿园)
- 金币: 6250.4
- 散金: 350
- 红花: 1
- 帖子: 535
- 在线: 155.3小时
- 虫号: 526913
- 注册: 2008-03-17
- 专业: 催化化学
2楼2012-09-15 10:28:48

3楼2012-09-17 16:35:39
pzypdl
主管区长 (文坛精英)
- C-EPI: 8
- 应助: 421 (硕士)
- 贵宾: 55.018
- 金币: 65345.2
- 散金: 101613
- 红花: 427
- 沙发: 1307
- 帖子: 29626
- 在线: 7862.5小时
- 虫号: 1042291
- 注册: 2010-06-16
- 性别: GG
- 专业: 环境化学
- 管辖: 化学化工区

4楼2012-09-17 16:58:15

6楼2012-09-19 08:39:21

7楼2012-09-19 08:41:43
Rhodium6071
木虫 (小有名气)
- 应助: 1 (幼儿园)
- 金币: 4149.4
- 红花: 2
- 帖子: 195
- 在线: 53.2小时
- 虫号: 699245
- 注册: 2009-02-10
- 专业: 能源化工
8楼2012-09-19 08:49:47
xhtangxh
木虫 (著名写手)
有木有虫
- C-EPI: 7
- 应助: 773 (博后)
- 金币: 17832.4
- 红花: 107
- 帖子: 2676
- 在线: 599.3小时
- 虫号: 428580
- 注册: 2007-08-04
- 专业: 催化化学
9楼2012-09-19 15:58:07
xhtangxh
木虫 (著名写手)
有木有虫
- C-EPI: 7
- 应助: 773 (博后)
- 金币: 17832.4
- 红花: 107
- 帖子: 2676
- 在线: 599.3小时
- 虫号: 428580
- 注册: 2007-08-04
- 专业: 催化化学
★
小木虫: 金币+0.5, 给个红包,谢谢回帖
小木虫: 金币+0.5, 给个红包,谢谢回帖
|
?????形状的孔有?????的???附模型,这个在???论上是???以进行模拟计算的。???附等温线是???附剂孔结构和表???性质的特?????映,以此判断孔形状大致上是??????的,精确???述比较困难。截???直径???一的圆柱形孔表???的???想物??????附等温线应该是没有滞???环的,但现实是很少有符??????想模型的???附。?????孔径????体??固体和??体????体间引力型相互作用的相对强度都是影?????附等温线形状的关键因素,因此对???附等温线的??释应在???附模型上结???实际情况,如孔???体系的开放性??孔结构对???附质的??制作用等,通过引入????????数修正???附模型进行分??,如从最简???的Langmuir???附方程到?????的?????域密度泛函分??。 物??????附和化学???附间是有界??的,但这??界??是人为的,化学键本质上是???了一??称谓的相互作用,作用较强而已,但“较强??是个什么度呢?因此物???作用和化学作用的界??是有交???的,这是辩??,??是狡辩。 液氮温度下N2???附一般是物??????附,这是对的,但??能排除化学???附,这与N2键能高很难活化??温度低??压强低无关,关键??看???附剂,比如Fe系??贵金属,化学???附作用是很明显的,因此Ar???附是更???想的选择。 |
10楼2012-09-19 16:49:23














回复此楼