| 查看: 1281 | 回复: 9 | ||
徐谊木虫 (著名写手)
|
[求助]
请大神帮忙编写个程序,谢谢已有1人参与
|
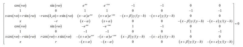
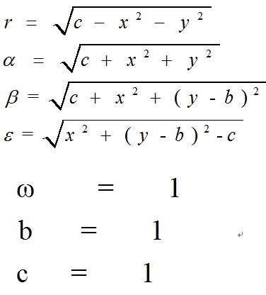
最近遇到一个编程的问题,百思不得其解,![]() ![]() ![]() 望大神能帮忙编写下程序,万分感谢 矩阵.jpg 参数.jpg 能不能根据上面的矩阵,用MATLAB画出x-y的关系图呢?x的范围没有限制,y是大于0的数。 谢谢 ![]() ![]() ![]() 图片贴出来可能看不清楚,可以再附件中下载,比较清晰!谢谢! |
» 本帖附件资源列表
-
欢迎监督和反馈:小木虫仅提供交流平台,不对该内容负责。
本内容由用户自主发布,如果其内容涉及到知识产权问题,其责任在于用户本人,如对版权有异议,请联系邮箱:xiaomuchong@tal.com - 附件 1 : 参数.jpg
- 附件 2 : 矩阵.jpg
2014-09-24 17:21:49, 20.6 K
2014-09-24 17:21:54, 71.73 K
» 猜你喜欢
读博
已经有5人回复
到新单位后,换了新的研究方向,没有团队,持续积累2区以上论文,能申请到面上吗
已经有13人回复
博士申请都是内定的吗?
已经有6人回复
之前让一硕士生水了7个发明专利,现在这7个获批发明专利的维护费可从哪儿支出哈?
已经有5人回复
博士读完未来一定会好吗
已经有29人回复
投稿精细化工
已经有4人回复
高职单位投计算机相关的北核或SCI四区期刊推荐,求支招!
已经有4人回复
导师想让我从独立一作变成了共一第一
已经有9人回复
心脉受损
已经有5人回复
Springer期刊投稿求助
已经有4人回复
» 本主题相关价值贴推荐,对您同样有帮助:
物理的大神们,帮忙看看这怎么算啊?
已经有13人回复
各位大神!继续帮忙!谢谢!
已经有9人回复
编辑的回复,请各位大神帮忙分析一下,谢谢!
已经有6人回复
求助、、、谢谢大神
已经有4人回复
各位大神帮我辨认下面的植物分别叫什么?多谢!
已经有14人回复
请大神帮我用Origin将这些数据化成三维曲面图,谢谢!也请把所编的程序也给我,谢谢!
已经有8人回复
求大神指导每个峰对应哪个H!!!!急急急急!!!!
已经有3人回复
求大神帮忙解题啊!!!
已经有4人回复
又会用proe5.0的吗 求大神 求教程
已经有2人回复
求大神们帮忙看看这个程序哪儿需要改啊
已经有7人回复
有一段fortran语言编写的代码,请问能不能转化能.exe的应用程序?请大神帮忙!
已经有5人回复
求大神来帮助我,,,,关于C语言的.懂得快进来,,,
已经有7人回复
哪位大神帮帮忙
已经有4人回复
哪位大神帮忙看一下MATLAB求解微分方程的问题?
已经有3人回复
R语言,求懂R的大神进来一看
已经有5人回复
高悬赏求助大神编写两个公式
已经有18人回复
求大神帮忙解答!
已经有8人回复
程序不会写怎么办呢?
已经有4人回复
请帮忙编写一个perl程序处理文本
已经有26人回复
求C语言大神帮忙
已经有6人回复
zhchh008
金虫 (正式写手)
- 应助: 13 (小学生)
- 金币: 1613.2
- 散金: 861
- 红花: 13
- 帖子: 833
- 在线: 202.6小时
- 虫号: 99456
- 注册: 2005-11-11
- 性别: GG
- 专业: 资源化工
2楼2014-10-05 22:42:20
徐谊
木虫 (著名写手)
- 应助: 25 (小学生)
- 金币: 3693.4
- 散金: 2438
- 红花: 9
- 帖子: 1184
- 在线: 603.9小时
- 虫号: 1214236
- 注册: 2011-02-26
- 性别: GG
- 专业: 凝聚态物性 II :电子结构
3楼2014-10-08 13:25:38
zhchh008
金虫 (正式写手)
- 应助: 13 (小学生)
- 金币: 1613.2
- 散金: 861
- 红花: 13
- 帖子: 833
- 在线: 202.6小时
- 虫号: 99456
- 注册: 2005-11-11
- 性别: GG
- 专业: 资源化工
4楼2014-10-08 17:31:45
zhchh008
金虫 (正式写手)
- 应助: 13 (小学生)
- 金币: 1613.2
- 散金: 861
- 红花: 13
- 帖子: 833
- 在线: 202.6小时
- 虫号: 99456
- 注册: 2005-11-11
- 性别: GG
- 专业: 资源化工
5楼2014-10-08 18:04:32
徐谊
木虫 (著名写手)
- 应助: 25 (小学生)
- 金币: 3693.4
- 散金: 2438
- 红花: 9
- 帖子: 1184
- 在线: 603.9小时
- 虫号: 1214236
- 注册: 2011-02-26
- 性别: GG
- 专业: 凝聚态物性 II :电子结构
6楼2014-10-08 21:07:53
徐谊
木虫 (著名写手)
- 应助: 25 (小学生)
- 金币: 3693.4
- 散金: 2438
- 红花: 9
- 帖子: 1184
- 在线: 603.9小时
- 虫号: 1214236
- 注册: 2011-02-26
- 性别: GG
- 专业: 凝聚态物性 II :电子结构
7楼2014-10-08 21:08:06
zhchh008
金虫 (正式写手)
- 应助: 13 (小学生)
- 金币: 1613.2
- 散金: 861
- 红花: 13
- 帖子: 833
- 在线: 202.6小时
- 虫号: 99456
- 注册: 2005-11-11
- 性别: GG
- 专业: 资源化工
8楼2014-10-09 20:11:48
l1083657304
金虫 (正式写手)
- 应助: 9 (幼儿园)
- 金币: 1308.2
- 散金: 39
- 红花: 13
- 帖子: 699
- 在线: 148.7小时
- 虫号: 1783603
- 注册: 2012-04-27
- 性别: GG
- 专业: 化学反应工程
9楼2014-10-11 08:40:54
徐谊
木虫 (著名写手)
- 应助: 25 (小学生)
- 金币: 3693.4
- 散金: 2438
- 红花: 9
- 帖子: 1184
- 在线: 603.9小时
- 虫号: 1214236
- 注册: 2011-02-26
- 性别: GG
- 专业: 凝聚态物性 II :电子结构
10楼2014-10-11 13:21:09















回复此楼
