| ²é¿´: 4239 | »Ø¸´: 31 | ||||
[½»Á÷]
µ¼µç¾Û±½°·ºÏ³É ÒÑÓÐ12È˲ÎÓë
|
||||
|
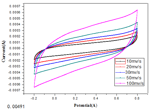
´ó¼ÒºÃ£¬ÇëÎÊÓÐËÔںϳɵ¼µç¾Û±½°·µÄÂð£¿ÎÒÓùýÁòËá°¡Ñõ»¯·¨ºÏ³É¾Û±½°·£¬ÈÜÒº¹²250ml£¬ÆäÖÐAn£¬ºÍAps¶¼ÊÇ0.2mol/L£¬±ùˮԡÖз´Ó¦4µ½6¸öСʱ£¬ºÏ³ÉµÃµ½Ä«ÂÌÉ«¾Û±½°·£¬¹ýÂË£¬Ë®Ï´£¬80ÉãÊ϶ȸÉÔï24h¡£ÎªÊ²Ã´²âÑ»··ü°²ÇúÏßʱ£¬×ÜÊÇûÓгöÏÖÑõ»¯·åºÍ»¹Ô·å£¬¶øÊÇÆ½»¬µÄÍÖÔ²ÄØ£¿¶øÇÒ×öºãÁ÷³ä·Åµç²âÊÔʱ£¬ºÜ¿ì¾Í·ÅÍêµçÁË£¬±ÈµçÈݺܵ͡£ÇëÎÊÓÐÄÄλ´óʦ¿ÉÒÔ¸æËßÎÒÔÒò°¡£¿ÄܸæËßÎÒÒ»ÖֱȽϺõĺϳɵ¼µç¾Û±½°·µÄ·½·¨ºÍ±ÈÀýÂð£¿Ë×öÕâ¿éµÄ¿ÉÒÔ½»Á÷ÏÂÂð£¿Ð»Ð»¡£ [ Last edited by tianyufu on 2014-9-17 at 14:38 ] |
» ÊÕ¼±¾ÌûµÄÌÔÌûר¼ÍƼö
×Ô¼ºµÄ¿ÆÑÐÐËȤ |
» ²ÂÄãϲ»¶
ºþÄÏũҵ´óѧÄÜÔ´²ÄÁÏ´´ÐÂÍŶÓÕÐÊÕ2025»¯Ñ§×¨ÒµÑо¿Éú£¨Ñ§Ë¶£©µ÷¼Á
ÒѾÓÐ0È˻ظ´
2026ÄêÎ÷»ª´óѧ²ÄÁÏѧԺ-²ÄÁϽü¾»³ÉÐÎÓë±íÃæ¼¼ÊõÑо¿ÍŶÓ-ÕÐÊÕµ÷¼ÁÑо¿Éú
ÒѾÓÐ9È˻ظ´
·ÖÎö»¯Ñ§ÂÛÎÄÈóÉ«/·ÒëÔõôÊÕ·Ñ?
ÒѾÓÐ73È˻ظ´
µ÷¼ÁÐÅÏ¢
ÒѾÓÐ0È˻ظ´
»ªÄÏÀí¹¤0703»¯Ñ§£¬×Ü·Ö336Çóµ÷¼Á
ÒѾÓÐ1È˻ظ´
ºÓ±±Å©´óÉúÎïÓëҽҩרҵÕÐÊÕµ÷¼Á£¬Ãû¶î³ä×ã
ÒѾÓÐ0È˻ظ´
Æë³¹¤Òµ´óѧ ¹ú¼ÒÖØµãʵÑéÊÒ-ÐÂÄÜÔ´¡¢ï®Àë×Óµç³Ø¡¢²ÄÁÏ¡¢»¯Ñ§·½Ïò
ÒѾÓÐ0È˻ظ´
һ־Ըǰ4λ´úÂë0703¾ù¿É±¨Ãû-ºÓ±±´óѧ·ÖÎö»¯Ñ§×¨ÒµÕÐÊÕµ÷¼Á¿¼Éú
ÒѾÓÐ57È˻ظ´
¡ï¡ï±¬¡ï¡ï0860ÉúÎïÓëÒ½Ò©µ÷¼Á¿¼Éú¿´¹ýÀ´£¬ºÓ±±´óѧ»¯Ñ§Óë²ÄÁÏ¿ÆÑ§Ñ§Ôº
ÒѾÓÐ64È˻ظ´
½ÜÇà/³¤½ÍŶÓÕÐÊÕµ÷¼Á
ÒѾÓÐ0È˻ظ´
ÖÐÄÏÁÖÒµ¿Æ¼¼´óѧÂÞÓ·æ½ÌÊÚÍŶÓ2026ÄêÕÐÊÕ²ÄÁÏÀàµ÷¼ÁÑо¿Éú
ÒѾÓÐ0È˻ظ´
» ±¾Ö÷ÌâÏà¹Ø¼ÛÖµÌùÍÆ¼ö£¬¶ÔÄúͬÑùÓаïÖú:
°´ÕÕÎÄÏ׺ϳɾ۱½°·ÑÕÉ«³ÊÏÔÀ¶É«£¬Çó½â£¬ÓÐͼÓÐÕæÏà¡£¡£¡£
ÒѾÓÐ9È˻ظ´
¹ØÓÚ¾Û±½°·µÄºÏ³É¡£
ÒѾÓÐ13È˻ظ´
ÇëÎÊÎåäå»òÕßËÄäå±½°·µÄºÏ³É
ÒѾÓÐ4È˻ظ´
µ¼µç¾Û±½°·µÄÖÆ±¸
ÒѾÓÐ3È˻ظ´
ÇóÖúNMPºÍ¾Û±½°·ÒÔ¼°Ê¯Ä«Ï©µÄÎÊÌâ
ÒѾÓÐ7È˻ظ´
µ¼µç²£Á§ÖƱ¸µç¼«Ï¸½ÚÇóÖú£¡£¡£¡
ÒѾÓÐ8È˻ظ´
Çë½Ìµç¾ÛºÏ±½°·µÄÎÊÌâ
ÒѾÓÐ8È˻ظ´
µç¾ÛºÏ¾Û±½°·£¬ÀïÃæÓõı½°·µ¥ÌåºÍÂòµÄ±½°·ÈÜÒºÓÖÓÐʲô¹ØÏµ
ÒѾÓÐ16È˻ظ´
µ¼µç¾Û±½°·µÄÑо¿
ÒѾÓÐ39È˻ظ´
ʵÑéÊÒÓÃŨÁòËáºÍÂÈ»¯ÄÆ·Ûĩ֯±¸´óÁ¿µÄHCL/ÒÒ´¼Ó¦×¢ÒâµÄÎÊÌ⣿
ÒѾÓÐ14È˻ظ´
¡¾ÇóÖú¡¿¾Û±½°·ÊÇ·ñÈÜÓÚÂȷ£¿£¿
ÒѾÓÐ10È˻ظ´
¾Û±½°·ÖÊ×ÓËá²ôÔÓ
ÒѾÓÐ15È˻ظ´
±½°·ÈÜÒº·Å¾ÃÁË»á¾ÛºÏ£¿ÔõÑù±ä³É´¿µ¥Ì壿
ÒѾÓÐ8È˻ظ´
¡¾ÇóÖú¡¿ÎÊ´ó¼Ò¸ö¹ØÓÚÖÆ±¸¾Û±½°·µÄÎÊÌâ~~~µÚÒ»´Î·¢Ìû~~~
ÒѾÓÐ7È˻ظ´
¡¾ÇóÖú¡¿±½°·±äÝÁ°·
ÒѾÓÐ5È˻ظ´
¡¾ÇóÖú¡¿¹ØÓÚ¾Û±½°·ºÏ³ÉºóÈçºÎ·ÖÀ룬ÇåÏ´
ÒѾÓÐ27È˻ظ´
¡¾ÇóÖú¡¿Ñ»··ü°²·¨ºÏ³É¾Û±½°·
ÒѾÓÐ24È˻ظ´
¡¾ÇóÖú¡¿¾Û±½°·ÊÇÀë×Óµ¼µç¾ÛºÏÎ»¹Êǵç×Óµ¼µç¾ÛºÏÎï°¡£¿
ÒѾÓÐ29È˻ظ´
¡¾ÇóÖú¡¿¹ØÓÚ¾Û±½°·µÄÎÊÌâ
ÒѾÓÐ10È˻ظ´
showtimer
Òø³æ (СÓÐÃûÆø)
- Ó¦Öú: 2 (Ó×¶ùÔ°)
- ½ð±Ò: 2720
- É¢½ð: 9
- ºì»¨: 1
- Ìû×Ó: 154
- ÔÚÏß: 133.4Сʱ
- ³æºÅ: 2131501
- ×¢²á: 2012-11-17
- ÐÔ±ð: GG
- רҵ: µç»¯Ñ§
¡ï
Сľ³æ: ½ð±Ò+0.5, ¸ø¸öºì°ü£¬Ð»Ð»»ØÌû
Сľ³æ: ½ð±Ò+0.5, ¸ø¸öºì°ü£¬Ð»Ð»»ØÌû
| ÓÐûÓеªÆø±£»¤£¿ÎÒÃÇÒ»°ãºÏ³É¾Û±½°·µÄʱºòÊÇÒªµªÆø±£»¤µÄ£¬³ý·ÇÊÇÓýçÃæ¾ÛºÏµÄ·½·¨ºÏ³É¾Û±½°·ÏËά¡£ |
» ±¾ÌûÒÑ»ñµÃµÄºì»¨£¨×îÐÂ10¶ä£©
3Â¥2014-09-18 09:33:56
showtimer
Òø³æ (СÓÐÃûÆø)
- Ó¦Öú: 2 (Ó×¶ùÔ°)
- ½ð±Ò: 2720
- É¢½ð: 9
- ºì»¨: 1
- Ìû×Ó: 154
- ÔÚÏß: 133.4Сʱ
- ³æºÅ: 2131501
- ×¢²á: 2012-11-17
- ÐÔ±ð: GG
- רҵ: µç»¯Ñ§
¡ï
Сľ³æ: ½ð±Ò+0.5, ¸ø¸öºì°ü£¬Ð»Ð»»ØÌû
Сľ³æ: ½ð±Ò+0.5, ¸ø¸öºì°ü£¬Ð»Ð»»ØÌû
|
µªÆø±£»¤¿ÉÒÔ·ÀÖ¹±»ÑõÆøÑõ»¯£¬¶øÇҺϳɵľ۱½°·¹æÕû¶È»á¸üºÃ£¬½çÃæ¾ÛºÏÒòΪ±½°·¾ÛºÏÔÚË®ÏàºÍÓÍÏàµÄ½çÃæÓö²»µ½¿ÕÆøËùÒÔ¿ÉÒÔ²»Í¨µªÆø¡£ |
16Â¥2014-09-24 16:42:04
lethe120
ľ³æ (ÕýʽдÊÖ)
- Ó¦Öú: 69 (³õÖÐÉú)
- ½ð±Ò: 2750
- É¢½ð: 502
- ºì»¨: 4
- Ìû×Ó: 309
- ÔÚÏß: 780.4Сʱ
- ³æºÅ: 741767
- ×¢²á: 2009-04-06
- רҵ: ÎÞ»ú·Ç½ðÊô»ù¸´ºÏ²ÄÁÏ
¡ï
Сľ³æ: ½ð±Ò+0.5, ¸ø¸öºì°ü£¬Ð»Ð»»ØÌû
Сľ³æ: ½ð±Ò+0.5, ¸ø¸öºì°ü£¬Ð»Ð»»ØÌû
|
ÄÇÊÇÔÚËáÐÔÌõ¼þϵIJâÊÔ·¶Î§¡£Äã¶¼ÒѾ»»µç½âÖÊÁË¡£Ê×Ïȸù¾ÝpHËãµÄ»°µçλÒѾ±ä»¯ÁË¡£ÎÄÏ׺ܶ౨µÀÔÚ¼îÐÔÌõ¼þϲâÊԵġ£ »¹ÊÇÈÏÕæ¿´¿´ÎÄÏ×°É¡£ |
22Â¥2014-09-26 21:38:27
ÊéÔá»ê
ľ³æ (СÓÐÃûÆø)
- Ó¦Öú: 10 (Ó×¶ùÔ°)
- ½ð±Ò: 4164.8
- É¢½ð: 109
- ºì»¨: 2
- Ìû×Ó: 244
- ÔÚÏß: 103.4Сʱ
- ³æºÅ: 1653757
- ×¢²á: 2012-02-29
- ÐÔ±ð: GG
- רҵ: µç»¯Ñ§·ÖÎö

2Â¥2014-09-17 10:02:02
ĪÀ¿Ë
ͳæ (³õÈëÎÄ̳)
- Ó¦Öú: 1 (Ó×¶ùÔ°)
- ½ð±Ò: 714.5
- É¢½ð: 120
- Ìû×Ó: 50
- ÔÚÏß: 83.7Сʱ
- ³æºÅ: 1136676
- ×¢²á: 2010-11-01
- רҵ: µç»¯Ñ§·ÖÎö
4Â¥2014-09-18 14:09:54
lethe120
ľ³æ (ÕýʽдÊÖ)
- Ó¦Öú: 69 (³õÖÐÉú)
- ½ð±Ò: 2750
- É¢½ð: 502
- ºì»¨: 4
- Ìû×Ó: 309
- ÔÚÏß: 780.4Сʱ
- ³æºÅ: 741767
- ×¢²á: 2009-04-06
- רҵ: ÎÞ»ú·Ç½ðÊô»ù¸´ºÏ²ÄÁÏ
5Â¥2014-09-18 15:27:55
6Â¥2014-09-18 15:38:17
7Â¥2014-09-18 16:01:03
8Â¥2014-09-18 16:07:16
Ê¥»ðµÄ»Ò½ý
ľ³æ (СÓÐÃûÆø)
- Ó¦Öú: 2 (Ó×¶ùÔ°)
- ½ð±Ò: 3381.5
- Ìû×Ó: 161
- ÔÚÏß: 13.9Сʱ
- ³æºÅ: 3395990
- ×¢²á: 2014-08-31
- ÐÔ±ð: GG
- רҵ: ÖÇÄܲÄÁÏ
9Â¥2014-09-19 00:06:04
sanshi9605
гæ (ÕýʽдÊÖ)
- Ó¦Öú: 3 (Ó×¶ùÔ°)
- ½ð±Ò: 1.5
- É¢½ð: 137
- ºì»¨: 1
- Ìû×Ó: 422
- ÔÚÏß: 121.4Сʱ
- ³æºÅ: 732393
- ×¢²á: 2009-03-27
- רҵ: µç»¯Ñ§·ÖÎö
10Â¥2014-09-19 09:19:26














»Ø¸´´ËÂ¥
ĪÀ¿Ë