| 查看: 405 | 回复: 1 | |
citihome木虫 (正式写手)
|
[求助]
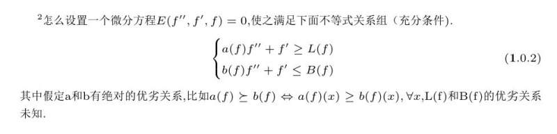
不等式方程组充分条件.
|
|
|
|
cooooldog铁杆木虫 (著名写手)
ส็็็
|
|
![]() |
|
|
2楼2014-08-29 08:46:38
|
|













回复此楼
