±±¾©Ê¯ÓÍ»¯¹¤Ñ§Ôº2026ÄêÑо¿ÉúÕÐÉú½ÓÊÕµ÷¼Á¹«¸æ
²é¿´: 1107  |  »Ø¸´: 5

SÓ±~~

½ð³æ (ÕýʽдÊÖ)

[ÇóÖú] Çó´óÉñ°ïæ¿´CVͼ£¬Í·¶¼´óÁË ÒÑÓÐ2È˲ÎÓë

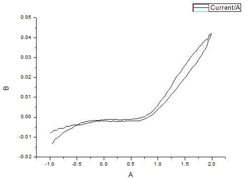
ϱ߷ֱðÊǵÚһȦµÚ¶þȦµÚÈýȦѭ»··ü°²É¨Ã裬ɨÃèËÙÂÊ2mv/s£¬ÇëÎÊÎÒÕâ±ßÊDz»ÊDzÎÊýʲôµÄÉèÖôíÎ󣬱ÈÈçɨÃèµçѹ¹ý´ó¹ýСʲôµÄ

Çó´óÉñ°ïæ¿´CVͼ£¬Í·¶¼´óÁË
a1.jpg


Çó´óÉñ°ïæ¿´CVͼ£¬Í·¶¼´óÁË-1
a2.jpg


Çó´óÉñ°ïæ¿´CVͼ£¬Í·¶¼´óÁË-2
a3.jpg
»Ø¸´´ËÂ¥

» ²ÂÄãϲ»¶

» ±¾Ö÷ÌâÏà¹Ø¼ÛÖµÌùÍÆ¼ö£¬¶ÔÄúͬÑùÓаïÖú:

ÒÑÔÄ   »Ø¸´´ËÂ¥   ¹Ø×¢TA ¸øTA·¢ÏûÏ¢ ËÍTAºì»¨ TAµÄ»ØÌû

s2810091

½û³æ (ÕýʽдÊÖ)

¡ï ¡ï ¡ï
¸Ðл²ÎÓ룬ӦÖúÖ¸Êý +1
SÓ±~~: ½ð±Ò+3 2014-10-04 12:47:35
±¾ÌûÄÚÈݱ»ÆÁ±Î

2Â¥2014-08-28 21:52:18
ÒÑÔÄ   »Ø¸´´ËÂ¥   ¹Ø×¢TA ¸øTA·¢ÏûÏ¢ ËÍTAºì»¨ TAµÄ»ØÌû

jfxie_ustc

ľ³æ (ÕýʽдÊÖ)

¡¾´ð°¸¡¿Ó¦Öú»ØÌû

¡ï ¡ï ¡ï
¸Ðл²ÎÓ룬ӦÖúÖ¸Êý +1
SÓ±~~: ½ð±Ò+3, ¡ï¡ï¡ïºÜÓаïÖú 2014-09-10 10:40:04
½¨Òé
1.Õë¶Ô²»¹æÔò¶¶¶¯ºÍÎÞÃ÷ÏÔ·åÐÍ£¬³¢ÊÔÖØÐ½ÓÏߣ»
2.Èç¹û¿ÉÒÔ£¬¼õСɨÃ跶Χ£¬±Ü¿ªÎöÇâºÍ²úÑõÇø£»
3.³¢ÊÔɨ¸ö100mv/sµÄcv£¬¿´¿´ÊÇ·ñÓзå³öÏÖ¡£
3Â¥2014-08-28 22:01:55
ÒÑÔÄ   »Ø¸´´ËÂ¥   ¹Ø×¢TA ¸øTA·¢ÏûÏ¢ ËÍTAºì»¨ TAµÄ»ØÌû

SÓ±~~

½ð³æ (ÕýʽдÊÖ)

ÒýÓûØÌû:
2Â¥: Originally posted by s2810091 at 2014-08-28 21:52:18
²»ÖªµÀÄã¾õµÃÕâ¸öCVͼÄÄÀï²»¶ÔÁË£¬Ì«¶¶¶¯ÁË£¿»¹ÊÇÔõôÑù£¿
¾õµÃ²»ºÃ¿´µÄ»°É¨ËÙÌá¸ßµ½20mv/ sÊÔÒ»ÊÔ
µçѹµ½2V£¬Èç¹ûÊÇˮϵµç½âÖÊ»áÎöÑõµÄ£¬´Ócv¿´ÎöÑõµÄÇ÷ÊÆºÜÃ÷ÏÔÁË

¸Ð¾õ¸úÈ˼ÒÕý³£µÄÑ­»··ü°²²»Ì«Ò»ÑùÄØ£¬²»±ÕºÏ£¬»¹Óн»²æ¡£ÊÇˮϵµç½âÖÊ£¬µ«ÊÇÓÐÎöÑõµÄ»°£¬·´É¨ÎªÊ²Ã´Ã»ÓÐÎöÇâÄØ£¿ÇóÖ¸µã
4Â¥2014-09-10 10:39:33
ÒÑÔÄ   »Ø¸´´ËÂ¥   ¹Ø×¢TA ¸øTA·¢ÏûÏ¢ ËÍTAºì»¨ TAµÄ»ØÌû

s2810091

½û³æ (ÕýʽдÊÖ)

¡ï ¡ï ¡ï ¡ï
SÓ±~~: ½ð±Ò+4 2014-10-04 12:48:24
±¾ÌûÄÚÈݱ»ÆÁ±Î

5Â¥2014-09-10 21:01:33
ÒÑÔÄ   »Ø¸´´ËÂ¥   ¹Ø×¢TA ¸øTA·¢ÏûÏ¢ ËÍTAºì»¨ TAµÄ»ØÌû

s2810091

½û³æ (ÕýʽдÊÖ)

±¾ÌûÄÚÈݱ»ÆÁ±Î

6Â¥2014-09-10 21:02:15
ÒÑÔÄ   »Ø¸´´ËÂ¥   ¹Ø×¢TA ¸øTA·¢ÏûÏ¢ ËÍTAºì»¨ TAµÄ»ØÌû
Ïà¹Ø°æ¿éÌø×ª ÎÒÒª¶©ÔÄÂ¥Ö÷ SÓ±~~ µÄÖ÷Ìâ¸üÐÂ
×î¾ßÈËÆøÈÈÌûÍÆ¼ö [²é¿´È«²¿] ×÷Õß »Ø/¿´ ×îºó·¢±í
[¿¼ÑÐ] 085600£¬321·ÖÇóµ÷¼Á +11 ´ó²öС×Ó 2026-04-04 12/600 2026-04-06 06:29 by houyaoxu
[¿¼ÑÐ] 348Çóµ÷¼Á +6 wukira 2026-04-04 6/300 2026-04-05 18:11 by Öí»á·É
[¿¼ÑÐ] 296Çóµ÷¼Á +3 Íô£¡£¿£¡ 2026-04-05 5/250 2026-04-05 17:38 by À¶ÔÆË¼Óê
[¿¼ÑÐ] 284Çóµ÷¼Á +7 Ðìͬѧ_001 2026-04-04 13/650 2026-04-05 17:19 by yulian1987
[¿¼ÑÐ] 304Çóµ÷¼Á£¨085602£¬¹ýËļ¶£¬Ò»Ö¾Ô¸985£© +15 »¯¹¤ÈË999 2026-04-04 15/750 2026-04-05 16:25 by ÎÒÊǵç·çÉÈr
[¿¼ÑÐ] 346·ÖµÄÉúÎïÓëÒ½Ò©08600Çóµ÷¼Á +5 ³£ÓêÑôÉϰ¶ 2026-04-05 6/300 2026-04-05 13:42 by imissbao
[¿¼ÑÐ] 298·Ö 070300Çóµ÷¼Á +15 zwen03 2026-04-02 15/750 2026-04-05 12:52 by Hdyxbekcb
[¿¼ÑÐ] Çóµ÷¼Á +3 С›g 2026-04-03 3/150 2026-04-05 09:10 by sihailian3
[¿¼ÑÐ] 296²ÄÁÏר˶Çóµ÷¼Á +21 202451007219 2026-04-02 22/1100 2026-04-04 21:48 by hemengdong
[¿¼ÑÐ] 298Çóµ÷¼Á +5 zzz£¬£¬r 2026-04-02 8/400 2026-04-04 19:55 by À¶ÔÆË¼Óê
[¿¼ÑÐ] ²ÄÁÏ383Çóµ÷¼Á +5 ¹ùÑôÑôÑô³É 2026-04-04 5/250 2026-04-04 19:06 by dongzh2009
[¿¼ÑÐ] Ò»Ö¾Ô¸ÖйúʯÓÍ´óѧ»¯Ñ§¹¤³Ì323·ÖÇóµ÷¼Á +4 »¯¹¤×¨Ë¶323·Ö 2026-04-03 6/300 2026-04-03 22:12 by dongzh2009
[¿¼ÑÐ] 319Çóµ÷¼Á +18 Ì«ÈÝÒ×1018 2026-04-01 18/900 2026-04-03 11:18 by linyelide
[¿¼ÑÐ] һ־Ըɽ¶«´óѧ»¯Ñ§Ó뻯¹¤Ñ§Ôº²ÄÁÏÓ뻯¹¤×¨Ë¶£¬360·ÖÇóµ÷¼Á +4 ²»Ô¸Í¸Â¶ÐÕÃûµÄË 2026-04-02 4/200 2026-04-03 09:29 by ÒÅÍüÏûʧµÄž™
[¿¼ÑÐ] 326Çóµ÷¼Á +3 9ahye 2026-04-02 4/200 2026-04-03 08:43 by Jaylen.
[¿¼ÑÐ] 348Çóµ÷¼Á +6 ÎâÑå׿24k 2026-04-02 6/300 2026-04-02 14:07 by ¸øÄãÄã×¢ÒâÐÝÏ¢
[¿¼ÑÐ] ¡¾Çóµ÷¼Á¡¿ÐÂÄÜÔ´²ÄÁϱ¾¿Æ£¬Ò»Ö¾Ô¸211£¬³õÊÔ321 +6 Çóµ÷¼ÁѧУ£¬ 2026-04-02 6/300 2026-04-02 09:41 by Çç¿Õ210210
[¿¼ÑÐ] 310·ÖÇóµ÷¼Á +4 ³É¹¦Éϰ¶wang 2026-04-01 4/200 2026-04-01 20:35 by liu823948201
[¿¼ÑÐ] 0710ÉúÎïѧÇóµ÷¼Á£¡ +6 ÐðÊöÎÄ 2026-03-31 6/300 2026-04-01 09:39 by JourneyLucky
[¿¼ÑÐ] ±§Ç¸ +3 ÌïºéÓÐ 2026-03-30 3/150 2026-03-30 19:11 by ÃÔºýCCPs
ÐÅÏ¢Ìáʾ
ÇëÌî´¦ÀíÒâ¼û