| ²é¿´: 1449 | »Ø¸´: 7 | |||
emyatoumaľ³æ (ÕýʽдÊÖ)
|
[ÇóÖú]
»ý·ÖÇóÖú Çó´óÉñ°ï棡
|
||
|
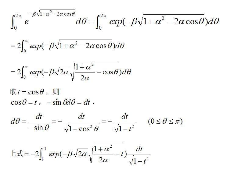
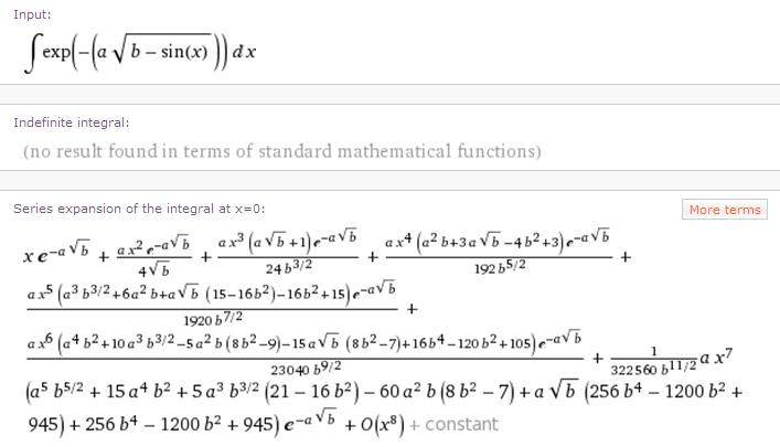
Ï£ÍûµÃµ½Ò»¸ö±í´ïʽ£¬½üËÆµÄÒ²¿ÉÒÔ£¬Ð´Ã÷½üËÆÌõ¼þ¼´¿É£¡ http://pan.baidu.com/disk/home ÎļþÃûΪ unsolve.PNG лл [ Last edited by emyatouma on 2014-3-4 at 18:08 ] |
» ²ÂÄãϲ»¶
Ò»Ö¾Ô¸Ö£ÖÝ´óѧ085600Çóµ÷¼Á
ÒѾÓÐ3È˻ظ´
Çóµ÷¼Á Ò»Ö¾Ô¸Î÷ÄϽ»Í¨´óѧ085701»·¾³¹¤³Ì 282·Ö
ÒѾÓÐ7È˻ظ´
Çóµ÷¼Á
ÒѾÓÐ15È˻ظ´
²ÄÁÏר˶283Çóµ÷¼Á
ÒѾÓÐ15È˻ظ´
£¨µ÷¼Á£©Ò»Ö¾Ô¸±¨¿¼¹þ¶û±õ¹¤Òµ´óѧ0857×ÊÔ´Óë»·¾³×¨Òµ378·Ö¿¼Éú
ÒѾÓÐ3È˻ظ´
±¾¿Æ211£¬293·ÖÇëÇóµ÷¼Á
ÒѾÓÐ9È˻ظ´
315Çóµ÷¼Á
ÒѾÓÐ4È˻ظ´
308Çóµ÷¼Á
ÒѾÓÐ4È˻ظ´
301Çóµ÷¼Á
ÒѾÓÐ4È˻ظ´
304Çóµ÷¼Á
ÒѾÓÐ5È˻ظ´
» ±¾Ö÷ÌâÏà¹Ø¼ÛÖµÌùÍÆ¼ö£¬¶ÔÄúͬÑùÓаïÖú:
APLÕâÑù»Ø¸´»¹ÓÐÏ£ÍûÂð£¿Çë¸÷λ´óÉñ°ïæ¿´¿´¡£
ÒѾÓÐ9È˻ظ´
Çó´óÉñ°ïæ½â´ð£¡
ÒѾÓÐ8È˻ظ´
¡¾ÇóÖú¡¿Çë´óÉñ°ïÎÒ·ÒëÒ»¾ä»°
ÒѾÓÐ3È˻ظ´
fluent°²×°£¬²»ÄÜÓã¬ÇóÖú´óÉñ°ïæ~~~
ÒѾÓÐ17È˻ظ´
ºÜ¼±£¬¸÷λ´óÉñ°ï°ï棬лл
ÒѾÓÐ20È˻ظ´
¹òÇó¸÷λ´óÉñ°ïæ
ÒѾÓÐ3È˻ظ´
ÏàͼÇóÖú~~~~~~~~~~~~~~~~~~~~~´óÉñ°ïæ°¡
ÒѾÓÐ4È˻ظ´
ÇóÊýѧ´óÉñ°ïæ¿´¿´Õâ¸ö»ý·Ö£¡
ÒѾÓÐ3È˻ظ´
Çó´óÉñ°ïæ·Òë
ÒѾÓÐ1È˻ظ´
Çó»ý·Ö£¬²»»á°¡Çó´óÉñ°ï°ï棡
ÒѾÓÐ6È˻ظ´
ÇóÖú´óÉñ°ïÎÒ¿´¿´Õâ¶Î³ÌÐòÊǸÉʲôµÄ£¿£¨¾ÍÊǶ¨ÒåÕâ¸öº¯ÊýËãʲô£©
ÒѾÓÐ6È˻ظ´
Çó´óÉñ°ïæ°¡£¬ÒÔÎÒÈ«²¿½ð±Ò½»»»
ÒѾÓÐ4È˻ظ´
Çó´óÉñ°ï濴һϣ¬¿Õ¼äȺ²»¶Ô°¡
ÒѾÓÐ9È˻ظ´
¹òÇó´óÉñ°ïæ·ÒëһϼòÀú
ÒѾÓÐ5È˻ظ´
Çó´óÉñ¸æËßÏÂÄ£ÄâÈí¼þ
ÒѾÓÐ4È˻ظ´
Çó¸÷λ´óÉñ°ïæÏÂһƪÎÄÕÂ
ÒѾÓÐ3È˻ظ´
¼ÆËãÄ£Äâ±à³ÌÓã¬Çó´óÉñÍÆ¼ö±Ê¼Ç±¾
ÒѾÓÐ16È˻ظ´
¹òÇó´óÉñ°ïæ½â¾öAÀà´íÎó
ÒѾÓÐ3È˻ظ´

emyatouma
ľ³æ (ÕýʽдÊÖ)
- Ó¦Öú: 0 (Ó×¶ùÔ°)
- ½ð±Ò: 1745.7
- É¢½ð: 15
- ºì»¨: 2
- Ìû×Ó: 327
- ÔÚÏß: 40.5Сʱ
- ³æºÅ: 1607724
- ×¢²á: 2012-02-09
- ÐÔ±ð: MM
- רҵ: Éùѧ

3Â¥2014-03-04 18:23:11
emyatouma
ľ³æ (ÕýʽдÊÖ)
- Ó¦Öú: 0 (Ó×¶ùÔ°)
- ½ð±Ò: 1745.7
- É¢½ð: 15
- ºì»¨: 2
- Ìû×Ó: 327
- ÔÚÏß: 40.5Сʱ
- ³æºÅ: 1607724
- ×¢²á: 2012-02-09
- ÐÔ±ð: MM
- רҵ: Éùѧ

2Â¥2014-03-04 18:16:16
|
±¾ÌûÄÚÈݱ»ÆÁ±Î |
4Â¥2014-03-05 00:07:07
feixiaolin
ÈÙÓþ°æÖ÷ (ÎÄ̳¾«Ó¢)
-

ר¼Ò¾Ñé: +518 - Ó¦Öú: 942 (²©ºó)
- ¹ó±ö: 1.275
- ½ð±Ò: 3880
- É¢½ð: 58785
- ºì»¨: 532
- ɳ·¢: 11
- Ìû×Ó: 24215
- ÔÚÏß: 2601.8Сʱ
- ³æºÅ: 2139575
- ×¢²á: 2012-11-21
- רҵ: ¹âѧÐÅÏ¢»ñÈ¡Óë´¦Àí
- ¹ÜϽ: Êýѧ
5Â¥2014-03-05 10:24:18
emyatouma
ľ³æ (ÕýʽдÊÖ)
- Ó¦Öú: 0 (Ó×¶ùÔ°)
- ½ð±Ò: 1745.7
- É¢½ð: 15
- ºì»¨: 2
- Ìû×Ó: 327
- ÔÚÏß: 40.5Сʱ
- ³æºÅ: 1607724
- ×¢²á: 2012-02-09
- ÐÔ±ð: MM
- רҵ: Éùѧ

6Â¥2014-03-06 00:24:17
feixiaolin
ÈÙÓþ°æÖ÷ (ÎÄ̳¾«Ó¢)
-

ר¼Ò¾Ñé: +518 - Ó¦Öú: 942 (²©ºó)
- ¹ó±ö: 1.275
- ½ð±Ò: 3880
- É¢½ð: 58785
- ºì»¨: 532
- ɳ·¢: 11
- Ìû×Ó: 24215
- ÔÚÏß: 2601.8Сʱ
- ³æºÅ: 2139575
- ×¢²á: 2012-11-21
- רҵ: ¹âѧÐÅÏ¢»ñÈ¡Óë´¦Àí
- ¹ÜϽ: Êýѧ
7Â¥2014-03-06 07:03:51
emyatouma
ľ³æ (ÕýʽдÊÖ)
- Ó¦Öú: 0 (Ó×¶ùÔ°)
- ½ð±Ò: 1745.7
- É¢½ð: 15
- ºì»¨: 2
- Ìû×Ó: 327
- ÔÚÏß: 40.5Сʱ
- ³æºÅ: 1607724
- ×¢²á: 2012-02-09
- ÐÔ±ð: MM
- רҵ: Éùѧ

8Â¥2014-03-06 15:53:00














»Ø¸´´ËÂ¥