版块导航
正在加载中...
客户端APP下载
论文辅导
调剂小程序
登录
注册
帖子
帖子
用户
本版
应《网络安全法》要求,自2017年10月1日起,未进行实名认证将不得使用互联网跟帖服务。为保障您的帐号能够正常使用,请尽快对帐号进行手机号验证,感谢您的理解与支持!
24小时热门版块排行榜
>
论坛更新日志
(2689)
>
虫友互识
(614)
>
休闲灌水
(180)
>
导师招生
(81)
>
论文投稿
(58)
>
博后之家
(34)
>
文献求助
(31)
>
招聘信息布告栏
(24)
>
基金申请
(24)
>
考研
(22)
>
硕博家园
(20)
>
考博
(20)
>
找工作
(17)
>
论文道贺祈福
(16)
>
教师之家
(15)
>
公派出国
(13)
小木虫论坛-学术科研互动平台
»
材料区
»
复合材料
»
测试表征
»
这是一种材料和氧化石墨烯的复合材料xrd
1
1/1
返回列表
查看: 1079 | 回复: 0
只看楼主
@他人
存档
新回复提醒
(忽略)
收藏
在APP中查看
ckb1209
新虫
(初入文坛)
应助: 0
(幼儿园)
金币: 11.9
散金: 5
帖子: 37
在线: 19.3小时
虫号: 2671577
注册: 2013-09-22
性别: GG
专业: 环境化工
[
求助
]
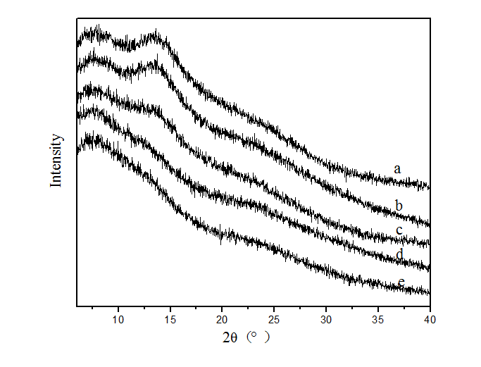
这是一种材料和氧化石墨烯的复合材料xrd
求大神帮忙分析一下,氧化石墨烯加入后对复合材料有什么影响。。。
还有我的这个图是斜的,要怎么处理才能使它的基线水平??
复合材料 xrd图谱
回复此楼
» 猜你喜欢
Sustainable Engineering Materials首届青年编委招募启事
已经有17人回复
混凝土材料类SCI期刊求推荐
已经有7人回复
建筑环境与结构工程论文润色/翻译怎么收费?
已经有257人回复
哈工大申请考核制招收博士生9月28日截止
已经有20人回复
哈工大26年度博士申请考核第二轮
已经有12人回复
advance in structural engineering 期刊Awaiting EIC Assignmeng阶段十天了
已经有3人回复
ansys有限元分析求助
已经有2人回复
有外导意向招收2026年CSC联培博士吗
已经有7人回复
南京林业大学国家工程中心李海涛教授课题组招收研究生
已经有11人回复
拟解决的关键科学问题还要不要写
已经有14人回复
» 本主题相关商家推荐:
(我也要在这里推广)
1楼
2014-08-27 20:57:04
已阅
回复此楼
关注TA
给TA发消息
送TA红花
TA的回帖
智能机器人
Robot
(super robot)
我们都爱小木虫
找到一些相关的精华帖子,希望有用哦~
大家帮我分析一下氧化石墨烯的XRD啊
已经有7人回复
氧化石墨烯的XRD、AFM分析?
已经有4人回复
氧化石墨还原石墨烯的XRD 请大家帮我看看
已经有11人回复
氧化石墨xrd峰向高角度偏移问题
已经有4人回复
还原后的氧化石墨烯XRD
已经有6人回复
求助 哪位大神帮我分析一下我这个石墨烯的XRD图
已经有6人回复
关于氧化石墨烯(GO)的XRD图
已经有18人回复
氧化石墨复合材料XRD中石墨烯峰的问题
已经有9人回复
氧化石墨的XRD表征时,样品如何制样?
已经有4人回复
石墨烯纳米片的XRD图谱与石墨的区别是什么?
已经有5人回复
石墨烯的XRD在约8.9°处有峰是怎么回事?
已经有4人回复
XRD如图,能否确定氧化石墨还原了?
已经有9人回复
氧化石墨烯掺杂后的XRD问题
已经有5人回复
氧化石墨烯的XRD测试
已经有20人回复
石墨烯与氧化石墨的XRD,石墨烯是否合成成功?
已经有48人回复
水合肼还原石墨烯XRD请教
已经有29人回复
石墨烯的XRD衍射峰位置 是不是与还原程度一样
已经有8人回复
氧化石墨的XRD图的疑问及其它问题
已经有25人回复
请教关于石墨烯XRD的问题
已经有26人回复
关于氧化石墨被还原成氧化石墨烯后的XRD
已经有13人回复
求助,关于氧化石墨的XRD
已经有18人回复
请问下面的XRD和XPS能说明是石墨烯吗?
已经有4人回复
点击这里搜索更多相关资源
科研从小木虫开始,人人为我,我为人人
相关版块跳转
材料综合
材料工程
微米和纳米
晶体
金属
无机非金属
生物材料
功能材料
复合材料
我要订阅楼主
ckb1209
的主题更新
1
1/1
返回列表
如果回帖内容含有宣传信息,请如实选中。否则帐号将被全论坛禁言
普通表情
龙
兔
虎
猫
百度网盘
|
360云盘
|
千易网盘
|
华为网盘
在新窗口页面中打开自己喜欢的网盘网站,将文件上传后,然后将下载链接复制到帖子内容中就可以了。
最具人气热帖推荐
[查看全部]
作者
回/看
最后发表
[
基金申请
]
情人节自我反思:在爱情中有过遗憾吗?
+5
瞬息宇宙
2026-02-15
6/300
2026-02-18 12:51
by
月下雪林
[
找工作
]
售SCI一区文章,我:8 O5 51O 54,科目齐全,可+急
+3
i3cz6qj6l2
2026-02-17
3/150
2026-02-18 11:09
by
lqtl9djx19
[
考博
]
售SCI一区文章,我:8 O5 51O 54,科目齐全,可+急
+3
i3cz6qj6l2
2026-02-17
3/150
2026-02-18 10:54
by
lqtl9djx19
[
考研
]
售SCI一区文章,我:8 O5 51O 54,科目齐全,可+急
+3
i3cz6qj6l2
2026-02-17
3/150
2026-02-18 10:39
by
lqtl9djx19
[
考研
]
售SCI一区文章,我:8 O5 51O 54,科目齐全,可+急
+3
pnpwoqbg8f
2026-02-17
3/150
2026-02-18 08:53
by
lqtl9djx19
[
硕博家园
]
售SCI一区文章,我:8 O5 51O 54,科目齐全,可+急
+3
pnpwoqbg8f
2026-02-17
3/150
2026-02-18 08:38
by
lqtl9djx19
[
找工作
]
售SCI一区文章,我:8 O5 51O 54,科目齐全,可+急
+4
pnpwoqbg8f
2026-02-17
4/200
2026-02-18 07:55
by
lotyj5cz79
[
基金申请
]
售SCI一区文章,我:8 O5 51O 54,科目齐全,可+急
+3
pnpwoqbg8f
2026-02-16
4/200
2026-02-18 07:40
by
lotyj5cz79
[
考研
]
售SCI一区文章,我:8 O5 51O 54,科目齐全,可+急
+4
pnpwoqbg8f
2026-02-16
4/200
2026-02-18 07:38
by
lotyj5cz79
[
硕博家园
]
售SCI一区文章,我:8 O5 51O 54,科目齐全,可+急
+4
pnpwoqbg8f
2026-02-16
4/200
2026-02-18 07:23
by
lotyj5cz79
[
论文投稿
]
售SCI一区文章,我:8 O5 51O 54,科目齐全,可+急
+4
pnpwoqbg8f
2026-02-16
4/200
2026-02-18 07:08
by
lotyj5cz79
[
公派出国
]
售SCI一区文章,我:8 O5 51O 54,科目齐全,可+急
+3
pnpwoqbg8f
2026-02-16
3/150
2026-02-18 06:53
by
lotyj5cz79
[
论文投稿
]
售SCI一区文章,我:8 O5 51O 54,科目齐全,可+急
+3
pnpwoqbg8f
2026-02-17
3/150
2026-02-18 00:40
by
tk2gfblvuz
[
找工作
]
售SCI一区文章,我:8 O5 51O 54,科目齐全,可+急
+3
pnpwoqbg8f
2026-02-17
4/200
2026-02-18 00:23
by
tk2gfblvuz
[
公派出国
]
售SCI一区文章,我:8 O5 51O 54,科目齐全,可+急
+3
pnpwoqbg8f
2026-02-17
3/150
2026-02-17 23:40
by
tk2gfblvuz
[
基金申请
]
基金正文30页指的是报告正文还是整个申请书
+3
successhe
2026-02-16
4/200
2026-02-17 20:56
by
successhe
[
基金申请
]
今年春晚有几个节目很不错,点赞!
+5
瞬息宇宙
2026-02-16
6/300
2026-02-17 12:49
by
jymy19840415
[
微米和纳米
]
球磨粉体时遇到了大的问题,请指教!
10
+3
6sbiam
2026-02-12
15/750
2026-02-16 15:03
by
tgzxzqj
[
基金申请
]
过年走亲戚时感受到了所开私家车的鄙视链
+3
瞬息宇宙
2026-02-15
5/250
2026-02-16 14:23
by
aspect3000
[
硕博家园
]
江汉大学解明教授课题组招博士研究生/博士后
+3
cleverlyy
2026-02-12
3/150
2026-02-12 21:02
by
qsdf1
信息提示
关闭
请填处理意见
关闭
确定