| 查看: 387 | 回复: 2 | |
[求助]
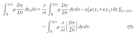
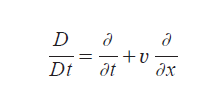
变分公式推导 求指点下(Hamilton原理)
|
|
![]() |
|
|
|
|
![]() |
|
|
2楼2014-08-26 16:27:48
|
|
![]() |
|
|
3楼2014-08-27 10:19:49
|
|













回复此楼