| ²é¿´: 1794 | »Ø¸´: 9 | ||
cjd_lchгæ (³õÈëÎÄ̳)
|
[ÇóÖú]
Âé·³¸ßÈËÖ¸µãÒ»ÏÂ1stoptºÍspssµÄ·ÇÏßÐԻعéÖÐweibullµÄÁ½²ÎÊýµÄ¹«Ê½Ó¦¸ÃÔõô±í´ï°¡£¿
|
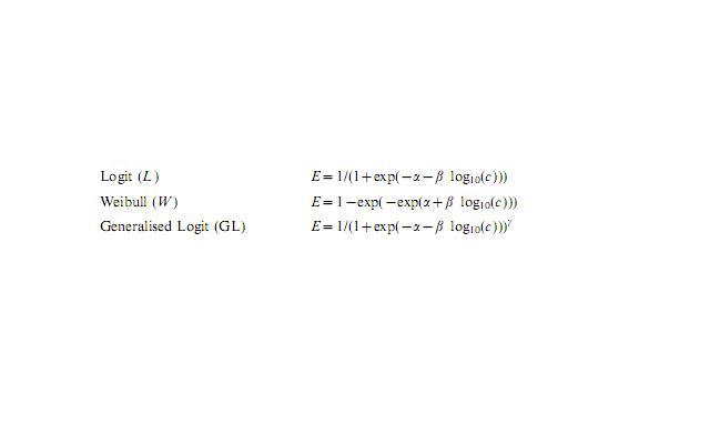
| Âé·³¸ßÈËÖ¸µãÒ»ÏÂ1stoptºÍspssµÄ·ÇÏßÐԻعéÖÐweibullµÄÁ½²ÎÊýµÄ¹«Ê½Ó¦¸ÃÔõô±í´ï°¡£¿ ÎÄÏ×ÉÏÒ»°ãÊÇÕâÑù±í´ïy=1-exp(-exp(¦Á+¦Âlog10£¨x)))£¬µ«ÊÇÔÚ1stoptºÍspssÊäÈ빫ʽºóÀÏÊÇÌáʾ¹«Ê½ÓÐ´í£¬Ôõô»ØÊ°¡£¿ |
» ²ÂÄãϲ»¶
ɽÎ÷´óͬ´óѧÎïÀíѧ˶ʿÑо¿ÉúÕÐÊÕµ÷¼ÁÉú
ÒѾÓÐ0È˻ظ´
[µ÷¼ÁÐÅÏ¢]211ÖÇÄÜÈ˹¤¸ÐÖª·½Ïò¹ú¼ÒÇàÄêÌØÆ¸×¨¼Ò¿ÎÌâ×éÕÐÊÕµ÷¼ÁÑо¿Éú
ÒѾÓÐ0È˻ظ´
ÎïÀíѧIÂÛÎÄÈóÉ«/·ÒëÔõôÊÕ·Ñ?
ÒѾÓÐ119È˻ظ´
£Ûµ÷¼ÁÐÅÏ¢£Ý211ÖÇÄÜÈ˹¤¸ÐÖª·½Ïò¹ú¼ÒÇàÄêÌØÆ¸×¨¼Ò¿ÎÌâ×éÕÐÊÕµ÷¼ÁÑо¿Éú
ÒѾÓÐ0È˻ظ´
[µ÷¼ÁÐÅÏ¢]211ÖÇÄÜÈ˹¤¸ÐÖª·½Ïò¹ú¼ÒÇàÄêÌØÆ¸×¨¼Ò¿ÎÌâ×éÕÐÊÕµ÷¼ÁÑо¿Éú
ÒѾÓÐ0È˻ظ´
0702Ò»Ö¾Ô¸¼ª´óBÇøÇóµ÷¼Á ±¾¿ÆÆÚ¼ä·¢±íһƪSci
ÒѾÓÐ2È˻ظ´
070200Çóµ÷¼Á£¬Ò»Ö¾Ô¸Ä³211£¬288·Ö
ÒѾÓÐ18È˻ظ´
·¨¹ú²©Ê¿ºóְλ
ÒѾÓÐ0È˻ظ´
ÖØÇì½»´ó26Äê˶ʿÉúÕÐÉúÄâµ÷¼Á֪ͨÒѳö£¡»¶Ó¼ÓÈë»úÆ÷ÊÓ¾õÓë3D¹âѧ³ÉÏñ¿ÎÌâ×é¡£
ÒѾÓÐ0È˻ظ´
» ±¾Ö÷ÌâÏà¹Ø¼ÛÖµÌùÍÆ¼ö£¬¶ÔÄúͬÑùÓаïÖú:
ÊDz»Êdz¹µ×ûϷÁË£¿¼±£¡£¡£¡Çó¸ßÊÖÖ¸µã¡£
ÒѾÓÐ46È˻ظ´
ÇóÖ¸µã£¬ÑÐÒ»µÄʱºò¿ÉÒÔÉêÇ빫ÅɶÁ²©Âð£¿
ÒѾÓÐ19È˻ظ´
±½»·ÉϵÄÍé»ùÈ¡´ú¡£Çó¸ßÈËÖ¸µã¡£Ð»Ð»£¡
ÒѾÓÐ23È˻ظ´
³ýµô·´Ó¦Éú³ÉµÄÒÒ´¼£¬À¶¯·´Ó¦Æ½ºâ¡£Çó¸ßÈËÖ¸µã
ÒѾÓÐ15È˻ظ´
µ÷¼Á¹¦ÄÜÄÉÃ×Ñо¿ÔºÔõôÑù£¬Íû¸ßÈËÖ¸µã¡£¡£¡£
ÒѾÓÐ24È˻ظ´
¹ú»ùÉ걨ÊéÔâÊÜ¿¼Ñ飬Çë¸÷λÅóÓÑÖ¸µãÃÔ½ò£¡
ÒѾÓÐ22È˻ظ´
ÀϰåÃØÊé·¢ÐÅ˵ÁËһЩ¹ØÓÚ°ìÀíDS-2019±íµÄÊÂÇé(¸½ÔÎÄ)~N¶à²»Ã÷°×£¬ÇóÖ¸µã~
ÒѾÓÐ10È˻ظ´
Çë½Ì¸ßÊÖÖ¸µãÃÔ½ò£¹ÌÌåÁ׺˴űíÕ÷¹ÌÌåËáËáÇ¿¶È
ÒѾÓÐ5È˻ظ´
±±´óSPSS½Ì³Ì
ÒѾÓÐ1045È˻ظ´
ºË´ÅͼµÄÁÑ·Ö²»ÖªµÀÔõô½âÊÍ£¬Ïò´ó¼ÒÇë½Ì£¬Íû¸ßÊÖÖ¸µã
ÒѾÓÐ25È˻ظ´
dingd
Ìú¸Ëľ³æ (Ö°Òµ×÷¼Ò)
- ¼ÆËãÇ¿Ìû: 4
- Ó¦Öú: 1641 (½²Ê¦)
- ½ð±Ò: 15037.3
- É¢½ð: 101
- ºì»¨: 234
- Ìû×Ó: 3410
- ÔÚÏß: 1223.7Сʱ
- ³æºÅ: 291104
- ×¢²á: 2006-10-28
2Â¥2012-04-11 09:03:36
cjd_lch
гæ (³õÈëÎÄ̳)
- Ó¦Öú: 0 (Ó×¶ùÔ°)
- ½ð±Ò: 1930.5
- Ìû×Ó: 36
- ÔÚÏß: 22.5Сʱ
- ³æºÅ: 801937
- ×¢²á: 2009-07-01
- רҵ: ÎÛȾÉú̬ѧ
3Â¥2012-04-11 16:25:57
dingd
Ìú¸Ëľ³æ (Ö°Òµ×÷¼Ò)
- ¼ÆËãÇ¿Ìû: 4
- Ó¦Öú: 1641 (½²Ê¦)
- ½ð±Ò: 15037.3
- É¢½ð: 101
- ºì»¨: 234
- Ìû×Ó: 3410
- ÔÚÏß: 1223.7Сʱ
- ³æºÅ: 291104
- ×¢²á: 2006-10-28
4Â¥2012-04-11 20:37:49
dingd
Ìú¸Ëľ³æ (Ö°Òµ×÷¼Ò)
- ¼ÆËãÇ¿Ìû: 4
- Ó¦Öú: 1641 (½²Ê¦)
- ½ð±Ò: 15037.3
- É¢½ð: 101
- ºì»¨: 234
- Ìû×Ó: 3410
- ÔÚÏß: 1223.7Сʱ
- ³æºÅ: 291104
- ×¢²á: 2006-10-28
5Â¥2012-04-12 09:45:43
cjd_lch
гæ (³õÈëÎÄ̳)
- Ó¦Öú: 0 (Ó×¶ùÔ°)
- ½ð±Ò: 1930.5
- Ìû×Ó: 36
- ÔÚÏß: 22.5Сʱ
- ³æºÅ: 801937
- ×¢²á: 2009-07-01
- רҵ: ÎÛȾÉú̬ѧ
|
Title "weibull"; Parameters a,b; Variable x,y; Function y=1-exp(-exp(a+b*log(x))); Data; 0.0357 98.8 0.02 91.8 0.014 85.9 0.00643 71.9 0.00357 26.1 0.00199 9.1 0.00014 17.3 0.0000643 17.9 0.0000357 6.7 0.0000199 6.9 0.0000014 3.7 0.00000643 2.6 ÎÒ²»ÖªµÀ×Ô¼ºµÄ¶Ô²»¶Ô£¬¾ÍÓñðÈ˵ÄÊý¾ÝÊÔ×Å¿´µÄ¡££¬ËüµÄ²ÎÊý¹À¼Æ½á¹ûÊÇa=6.46£¬b=2.97£¬R=0.980 |
6Â¥2012-04-12 13:02:24
dingd
Ìú¸Ëľ³æ (Ö°Òµ×÷¼Ò)
- ¼ÆËãÇ¿Ìû: 4
- Ó¦Öú: 1641 (½²Ê¦)
- ½ð±Ò: 15037.3
- É¢½ð: 101
- ºì»¨: 234
- Ìû×Ó: 3410
- ÔÚÏß: 1223.7Сʱ
- ³æºÅ: 291104
- ×¢²á: 2006-10-28
7Â¥2012-04-12 14:38:33
cjd_lch
гæ (³õÈëÎÄ̳)
- Ó¦Öú: 0 (Ó×¶ùÔ°)
- ½ð±Ò: 1930.5
- Ìû×Ó: 36
- ÔÚÏß: 22.5Сʱ
- ³æºÅ: 801937
- ×¢²á: 2009-07-01
- רҵ: ÎÛȾÉú̬ѧ
8Â¥2012-04-12 18:43:28
dingd
Ìú¸Ëľ³æ (Ö°Òµ×÷¼Ò)
- ¼ÆËãÇ¿Ìû: 4
- Ó¦Öú: 1641 (½²Ê¦)
- ½ð±Ò: 15037.3
- É¢½ð: 101
- ºì»¨: 234
- Ìû×Ó: 3410
- ÔÚÏß: 1223.7Сʱ
- ³æºÅ: 291104
- ×¢²á: 2006-10-28
9Â¥2012-04-12 20:14:29
cjd_lch
гæ (³õÈëÎÄ̳)
- Ó¦Öú: 0 (Ó×¶ùÔ°)
- ½ð±Ò: 1930.5
- Ìû×Ó: 36
- ÔÚÏß: 22.5Сʱ
- ³æºÅ: 801937
- ×¢²á: 2009-07-01
- רҵ: ÎÛȾÉú̬ѧ
10Â¥2012-04-12 20:27:12














»Ø¸´´ËÂ¥