±±¾©Ê¯ÓÍ»¯¹¤Ñ§Ôº2026ÄêÑо¿ÉúÕÐÉú½ÓÊÕµ÷¼Á¹«¸æ
²é¿´: 986  |  »Ø¸´: 0

gw1300205005

гæ (³õÈëÎÄ̳)

[ÇóÖú] simulinkÏßÐÔʱ±äϵͳ·ÂÕæÇóÖú

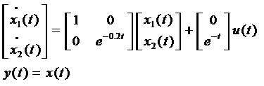
¶ÔÓÚÏßÐÔʱ±ä·½³Ì£º




ת»»Îª×´Ì¬·½³Ìºó£º




³õÊ¼Î»ÒÆÎ»ÒÆ¼°Ëٶȶ¼Îª0£»ÇëÎÊÈçºÎÓÃsimulink·ÂÕæ£¿Çó½Ì¸÷λ´óÉñÁË

simulinkÏßÐÔʱ±äϵͳ·ÂÕæÇóÖú
2.JPG


simulinkÏßÐÔʱ±äϵͳ·ÂÕæÇóÖú-1
1.JPG
»Ø¸´´ËÂ¥
ÒÑÔÄ   »Ø¸´´ËÂ¥   ¹Ø×¢TA ¸øTA·¢ÏûÏ¢ ËÍTAºì»¨ TAµÄ»ØÌû

ÖÇÄÜ»úÆ÷ÈË

Robot (super robot)

ÎÒÃǶ¼°®Ð¡Ä¾³æ

ÕÒµ½Ò»Ð©Ïà¹ØµÄ¾«»ªÌû×Ó£¬Ï£ÍûÓÐÓÃŶ~

¿ÆÑдÓСľ³æ¿ªÊ¼£¬ÈËÈËΪÎÒ£¬ÎÒΪÈËÈË
Ïà¹Ø°æ¿éÌø×ª ÎÒÒª¶©ÔÄÂ¥Ö÷ gw1300205005 µÄÖ÷Ìâ¸üÐÂ
×î¾ßÈËÆøÈÈÌûÍÆ¼ö [²é¿´È«²¿] ×÷Õß »Ø/¿´ ×îºó·¢±í
[¿¼ÑÐ] 085600²ÄÁÏÓ뻯¹¤µ÷¼Á +26 kikiki7 2026-03-30 27/1350 2026-04-04 09:18 by qlm5820
[¿¼ÑÐ] 283Çóµ÷¼Á +5 A child 2026-03-28 5/250 2026-04-04 00:40 by userper
[¿¼ÑÐ] 335Çóµ÷¼Á +7 ÉòÇåÁ§ 2026-04-03 7/350 2026-04-03 18:55 by lijunpoly
[¿¼ÑÐ] ÎåÒØ´óѧÍÁľ¹¤³ÌÕе÷¼ÁÉú2026 +3 wyutj 2026-03-31 4/200 2026-04-03 18:21 by zengxj_7201
[¿¼ÑÐ] ÉúÎïѧ308·ÖÇóµ÷¼Á£¨Ò»Ö¾Ô¸»ª¶«Ê¦´ó£© +7 ÏàÐűػá¹ââÍòÕ 2026-04-02 7/350 2026-04-03 16:48 by rzh123456
[˶²©¼ÒÔ°] ÇóÀÏʦÊÕÁô +9 lllq123 2026-04-03 9/450 2026-04-03 13:48 by ºôÎü¶¼ÊǼõ·Ê
[¿¼ÑÐ] ÉúÎïѧ˶341Çóµ÷¼Á +4 ÄãЦÆðÀ´ÏñÔÆ¶ä 2026-04-03 4/200 2026-04-03 10:32 by macy2011
[¿¼ÑÐ] Ò»Ö¾Ô¸°²»Õ´óѧ0817»¯Ñ§¹¤³ÌÓë¼¼Êõ£¬Çóµ÷¼Á +14 ÎÒ²»ÊÇÖ»Òò 2026-04-02 15/750 2026-04-03 09:49 by À¶ÔÆË¼Óê
[¿¼ÑÐ] Ò»Ö¾Ô¸±±¾©¿Æ¼¼²ÄÁÏ¿ÆÑ§Ó빤³Ì288·Ö£¬Çóµ÷¼Á +14 Êdz½°¡ 2026-04-02 14/700 2026-04-02 21:10 by dongzh2009
[¿¼ÑÐ] 348Çóµ÷¼Á +11 zzzzyk123 2026-04-01 11/550 2026-04-02 16:52 by Wang200018
[¿¼ÑÐ] Ò»Ö¾Ô¸ÉϺ£º£Ñó´óѧ083200ʳƷѧ˶£¬Çóµ÷¼Á£¬½ÓÊÜÆäËûרҵ +6 whatÕÅ 2026-04-01 7/350 2026-04-02 16:48 by zzsw+
[¿¼ÑÐ] 266Çóµ÷¼Á +4 ѧԱ97LZgn 2026-04-02 4/200 2026-04-02 13:03 by yulian1987
[¿¼ÑÐ] ²ÄÁÏר˶322·Ö +11 ¹þ¹þ¹þºðºðºð¹þ 2026-04-01 11/550 2026-04-02 10:52 by lnilvy
[¿¼ÑÐ] Ò»Ö¾Ô¸±±¾©¿Æ¼¼£¬085601×Ü·Ö305Çóµ÷¼Á +9 °ëÉú¹Ï£¡ 2026-04-01 11/550 2026-04-02 08:28 by Wang200018
[¿¼ÑÐ] ²ÄÁÏÓ뻯¹¤£¨0856£©304ÇóBÇøµ÷¼Á +8 Çñgl 2026-03-30 16/800 2026-04-01 17:58 by Çñgl
[¿¼ÑÐ] ʡ˫һÁ÷ÖØµãÒ»±¾´óѧÕÐÊÕµ÷¼Á +4 wwwwffffff 2026-03-31 7/350 2026-04-01 15:23 by wwwwffffff
[¿¼ÑÐ] ²ÄÁÏ¿ÆÑ§Ó빤³ÌÇóµ÷¼Á +13 ÉîVËÞÉá°É 2026-03-29 13/650 2026-03-31 19:50 by Dyhoer
[¿¼ÑÐ] ±¾¿Æ211ÉúÎïҽѧ¹¤³Ì085409Çóµ÷¼Á339·Ö +7 Àï×Óľyy 2026-03-29 7/350 2026-03-31 14:35 by fmesaito
[¿¼ÑÐ] Ò»Ö¾Ô¸´óÁ¬Àí¹¤´óѧ²ÄÁÏÇóµ÷¼Á +6 Gymno 2026-03-30 6/300 2026-03-31 07:26 by Î޼ʵIJÝÔ­
[¿¼ÑÐ] ¹þ¶û±õ¹¤Òµ´óѧ²ÄÁÏÓ뻯¹¤×¨Ë¶378Çóµ÷¼Á +3 Ëþ±ÈÎÚ˹ 2026-03-30 3/150 2026-03-30 22:55 by Î޼ʵIJÝÔ­
ÐÅÏ¢Ìáʾ
ÇëÌî´¦ÀíÒâ¼û