版块导航
正在加载中...
客户端APP下载
论文辅导
调剂小程序
登录
注册
帖子
帖子
用户
本版
应《网络安全法》要求,自2017年10月1日起,未进行实名认证将不得使用互联网跟帖服务。为保障您的帐号能够正常使用,请尽快对帐号进行手机号验证,感谢您的理解与支持!
24小时热门版块排行榜
>
论坛更新日志
(2937)
>
导师招生
(277)
>
虫友互识
(235)
>
文献求助
(206)
>
休闲灌水
(102)
>
硕博家园
(86)
>
考研
(77)
>
论文投稿
(51)
>
考博
(46)
>
基金申请
(40)
>
招聘信息布告栏
(30)
>
博后之家
(30)
>
教师之家
(28)
>
无机非金属
(26)
>
绿色求助(高悬赏)
(24)
>
找工作
(21)
小木虫论坛-学术科研互动平台
»
化学化工区
»
分析
»
光谱分析
»
大家看看这个紫外为什么是这样的
3
1/1
返回列表
查看: 288 | 回复: 2
只看楼主
@他人
存档
新回复提醒
(忽略)
收藏
在APP中查看
jxhg
银虫
(小有名气)
应助: 0
(幼儿园)
金币: 5.5
散金: 23
帖子: 199
在线: 97.8小时
虫号: 2384867
注册: 2013-03-28
专业: 胶体与界面化学
[
求助
]
大家看看这个紫外为什么是这样的
已有2人参与
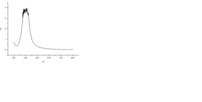
按说这个应该在400nm左右有峰,而不是这种平台的,是因为浓度大了的缘故吗?
无标题.jpg
回复此楼
» 猜你喜欢
什么是人一生最重要的?
已经有7人回复
版面费该交吗
已经有17人回复
体制内长辈说体制内绝大部分一辈子在底层,如同你们一样大部分普通教师忙且收入低
已经有19人回复
【博士招生】太原理工大学2026化工博士
已经有8人回复
280求调剂
已经有4人回复
面上可以超过30页吧?
已经有12人回复
为什么中国大学工科教授们水了那么多所谓的顶会顶刊,但还是做不出宇树机器人?
已经有11人回复
网上报道青年教师午睡中猝死、熬夜猝死的越来越多,主要哪些原因引起的?
已经有9人回复
» 本主题相关价值贴推荐,对您同样有帮助:
大家有人了解在线光纤紫外溶出仪的吗
已经有9人回复
我做的一个紫外,不知出了什么问题,大家帮忙看看
已经有9人回复
请大家帮忙看看我这个阻抗谱图正常吗?为什么会这样呢?急急急急
已经有8人回复
大家看看我的紫外近红外图
已经有12人回复
请求大家帮我分析一下这个紫外谱图!!!
已经有14人回复
大家看看这个镍膜的SEM为什么变成这个样子了...
已经有7人回复
使用相同的方法,为什么不同次做的紫外光谱图不同?
已经有5人回复
为什么我的ZnO紫外可见图这么奇怪
已经有14人回复
大家看看这个N为什么需要保护
已经有18人回复
为什么一种物质有2个紫外吸收峰
已经有9人回复
各位看看这个Ullman 反应到底哪里有问题了
已经有13人回复
为什么光催化剂在紫外光和可见光下的光催化活性趋势不同?
已经有22人回复
大豆蛋白在280nm处为什么没有紫外吸收峰?
已经有8人回复
液相为什么会出现倒峰(紫外检测)
已经有4人回复
为什么我的东西做完紫外全波长扫描后是这样的?是什么原因导致的呢?
已经有16人回复
弱弱地问一问:紫外光就可以杀菌,为什么还要做光催化杀菌?
已经有19人回复
紫外可见吸收光谱为什么是个连续的谱线?
已经有5人回复
色谱图异常,大家帮忙看看这是为什么?
已经有11人回复
关于紫外光谱问题,求助,大家来帮忙啊
已经有18人回复
谁能帮我看看这个胶是怎么回事啊?
已经有7人回复
测出来的紫外图谱,大家帮我分析分析原因。
已经有7人回复
大家好,请问下固体紫外在零点以下是怎么回事?
已经有14人回复
【求助/交流】为什么我的BSA紫外扫描没有特征吸收峰
已经有5人回复
【求助】请大家帮我看看负极的循环伏安曲线(CV)
已经有7人回复
【求助】分子荧光(发光材料)的高手请帮忙分析一下
已经有19人回复
1楼
2014-08-23 09:35:24
已阅
回复此楼
关注TA
给TA发消息
送TA红花
TA的回帖
liwentao2010
荣誉版主
(文坛精英)
山涛
专家经验: +925
ACI: 8
应助: 1892
(讲师)
贵宾: 9.653
金币: 66913.1
散金: 19465
红花: 295
沙发: 38
帖子: 12535
在线: 1645.4小时
虫号: 1135679
注册: 2010-10-31
专业: 催化化学
管辖:
催化
【答案】应助回帖
★ ★ ★ ★ ★ ★ ★
感谢参与,应助指数 +1
费姚永芬: 金币+2, 辛苦了
2014-08-23 20:22:26
jxhg: 金币+5,
★★★
很有帮助
2014-09-01 09:33:48
紫外测试,吸光度最好不要超过1.0,否则吸光度不稳定。楼主的峰比较宽,估计与物质有关,可以稀释一下,再测试一次。
赞
一下
回复此楼
加油!
2楼
2014-08-23 11:26:07
已阅
回复此楼
关注TA
给TA发消息
送TA红花
TA的回帖
雨梦无声
金虫
(著名写手)
应助: 451
(硕士)
金币: 1684.6
散金: 8792
红花: 41
帖子: 1728
在线: 744.5小时
虫号: 1830549
注册: 2012-05-23
性别: GG
专业: 分析化学
【答案】应助回帖
感谢参与,应助指数 +1
超量程,稀释再稀释
赞
一下
回复此楼
3楼
2014-08-23 14:52:14
已阅
回复此楼
关注TA
给TA发消息
送TA红花
TA的回帖
相关版块跳转
有机交流
有机资源
高分子
无机/物化
分析
催化
工艺技术
化工设备
石油化工
精细化工
电化学
环境
SciFinder/Reaxys
我要订阅楼主
jxhg
的主题更新
3
1/1
返回列表
如果回帖内容含有宣传信息,请如实选中。否则帐号将被全论坛禁言
普通表情
龙
兔
虎
猫
百度网盘
|
360云盘
|
千易网盘
|
华为网盘
在新窗口页面中打开自己喜欢的网盘网站,将文件上传后,然后将下载链接复制到帖子内容中就可以了。
信息提示
关闭
请填处理意见
关闭
确定