±±¾©Ê¯ÓÍ»¯¹¤Ñ§Ôº2026ÄêÑо¿ÉúÕÐÉú½ÓÊÕµ÷¼Á¹«¸æ
²é¿´: 234  |  »Ø¸´: 0

ÍõÎÄä»

ʵϰ°æÖ÷

ÓÅÐ㣡£¡ÓÐľÓУ¡£¡£¡ÓÅÐ㣡£¡ÓÐľÓУ¡£¡£¡ÓÅÐ㣡£¡ÓÐľÓУ¡£¡£¡ÓÅÐ㣡£¡ÓÐľÓУ¡£¡£¡

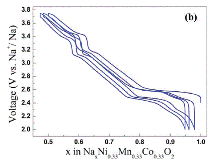
[½»Á÷] ¸÷λ´ó³æ¹ýÀ´¿´¿´Õâ¸öͼÀ²~~~~~Çó½Ì

´ó³æÃÇÖªµÀÕâ¸öͼÊÇÔõô²â³öÀ´µÄô£¡²»ÖªµÀÓÃʲôÒÇÆ÷¿ÉÒÔ²â³öÕâÖÖͼ£¡

¸÷λ´ó³æ¹ýÀ´¿´¿´Õâ¸öͼÀ²~~~~~Çó½Ì
ͼƬ1.gif
»Ø¸´´ËÂ¥
Keeponmoving
ÒÑÔÄ   »Ø¸´´ËÂ¥   ¹Ø×¢TA ¸øTA·¢ÏûÏ¢ ËÍTAºì»¨ TAµÄ»ØÌû

ÖÇÄÜ»úÆ÷ÈË

Robot (super robot)

ÎÒÃǶ¼°®Ð¡Ä¾³æ

ÕÒµ½Ò»Ð©Ïà¹ØµÄ¾«»ªÌû×Ó£¬Ï£ÍûÓÐÓÃŶ~

¿ÆÑдÓСľ³æ¿ªÊ¼£¬ÈËÈËΪÎÒ£¬ÎÒΪÈËÈË
Ïà¹Ø°æ¿éÌø×ª ÎÒÒª¶©ÔÄÂ¥Ö÷ ÍõÎÄä» µÄÖ÷Ìâ¸üÐÂ
×î¾ßÈËÆøÈÈÌûÍÆ¼ö [²é¿´È«²¿] ×÷Õß »Ø/¿´ ×îºó·¢±í
[¿¼ÑÐ] ÖØÇì´óѧ²ÄÁÏÓ뻯¹¤085600£¬³õÊÔ370+£¬ÇóÇóµ÷¼Á½¨Òé +3 shzhou_ 2026-04-01 3/150 2026-04-01 20:41 by ÎÞи¿É»÷111
[¿¼ÑÐ] 310·ÖÇóµ÷¼Á +4 ³É¹¦Éϰ¶wang 2026-04-01 4/200 2026-04-01 20:35 by liu823948201
[¿¼ÑÐ] 324·Ö 085600²ÄÁÏÓ뻯¹¤ +17 ´ô¶ìoor 2026-03-27 17/850 2026-04-01 17:51 by JYD2011
[¿¼ÑÐ] 348Çóµ÷¼Á +9 zzzzyk123 2026-04-01 9/450 2026-04-01 14:24 by w³æ³æ123
[¿¼ÑÐ] 085410È˹¤ÖÇÄÜ ³õÊÔ316·Ö Çóµ÷¼Á +3 ²ÐÐÇ·÷Êï 2026-03-31 3/150 2026-04-01 11:09 by СÐÜraider
[¿¼ÑÐ] 085900ÍÁľˮÀû336·ÖÇóµ÷¼Á +3 Zhangjiangj 2026-03-31 5/250 2026-04-01 09:14 by Zhangjiangj
[¿¼ÑÐ] 352·Ö-085602-Ò»Ö¾Ô¸985 +6 º£Äɰٴ¨Ly 2026-03-29 6/300 2026-03-31 21:06 by yuq
[¿¼ÑÐ] Ò»Ö¾Ô¸±±¾©¿Æ¼¼´óѧ²ÄÁÏѧ˶328·ÖÇóµ÷¼Á +4 1¶Îʱ¼ä 2026-03-31 5/250 2026-03-31 19:56 by wxiongid
[¿¼ÑÐ] 0856Çóµ÷¼Á +9 —öèñ 2026-03-28 9/450 2026-03-31 19:06 by ĺÔó12
[¿¼ÑÐ] 299Çóµ÷¼Á +8 àÅàÅàÅàÅ2 2026-03-27 8/400 2026-03-31 18:23 by lizhi8172
[¿¼ÑÐ] 329Çóµ÷¼Á£¬Ò»Ö¾Ô¸Î÷±±¹¤Òµ´óѧ£¬²ÄÁϹ¤³Ì£¨085601£© +6 СС»úÁ鳿 2026-03-29 12/600 2026-03-31 16:58 by ¼Çʱ¾2026
[¿¼ÑÐ] 334Çóµ÷¼Á +7 Trying] 2026-03-31 7/350 2026-03-31 12:33 by Î޼ʵIJÝÔ­
[¿¼ÑÐ] Ò»Ö¾Ô¸Õã½­´óѧ¹¤¿Æ¶¯Á¦¹¤³Ì370,ÊýÒ»121,רҵ¿Î135£¬ÏÖÔÚÄÜÈ¥ÄÄÀï +3 080700µ÷¼Á 2026-03-30 4/200 2026-03-31 12:00 by KLMY666
[¿¼ÑÐ] ÄϾ©´óѧ»¯Ñ§µ÷¼Á +11 ¾°Ëæ·ç 2026-03-29 16/800 2026-03-31 10:14 by herarysara
[Óлú½»Á÷] ¼×»ùÑǻǻÇËáÄÆºÍ¼×»ù»ÇËáõ¥·´Ó¦»úÀí 10+3 kaobao456 2026-03-29 4/200 2026-03-30 23:16 by nBuï®
[¿¼ÑÐ] 105500ҩѧÇóµ÷¼Á£¬Ò»Ö¾Ô¸É½¶«´óѧҩѧ£¬348·Ö +3 gr¹þ¹þ¹þ 2026-03-28 3/150 2026-03-30 18:56 by Ô´_2020
[¿¼ÑÐ] 0703 »¯Ñ§ Çóµ÷¼Á£¬Ò»Ö¾Ô¸É½¶«´óѧ 342 ·Ö +7 Shern¡ª- 2026-03-28 7/350 2026-03-30 16:31 by nothingͶ¸åÖÐ
[¿¼ÑÐ] 298Çóµ÷¼Á +3 ÖÖÊ¥´Í 2026-03-29 3/150 2026-03-29 12:06 by longlotian
[¿¼ÑÐ] 331»·¾³¿ÆÑ§Ó빤³ÌÇóµ÷¼Á +3 ìÚÈ»ºÃÔËÆø 2026-03-27 3/150 2026-03-28 04:11 by fmesaito
[¿¼ÑÐ] 292Çóµ÷¼Á +4 ÇóÇóÁËÊÕÏÂÎÒ°É£ 2026-03-26 4/200 2026-03-27 10:37 by zhshch
ÐÅÏ¢Ìáʾ
ÇëÌî´¦ÀíÒâ¼û