版块导航
正在加载中...
客户端APP下载
论文辅导
调剂小程序
登录
注册
帖子
帖子
用户
本版
应《网络安全法》要求,自2017年10月1日起,未进行实名认证将不得使用互联网跟帖服务。为保障您的帐号能够正常使用,请尽快对帐号进行手机号验证,感谢您的理解与支持!
24小时热门版块排行榜
>
论坛更新日志
(3298)
>
虫友互识
(387)
>
休闲灌水
(202)
>
导师招生
(157)
>
文献求助
(138)
>
论文道贺祈福
(55)
>
考博
(52)
>
论文投稿
(49)
>
博后之家
(41)
>
考研
(36)
>
硕博家园
(34)
>
公派出国
(28)
>
基金申请
(27)
>
招聘信息布告栏
(25)
>
找工作
(16)
>
教师之家
(13)
小木虫论坛-学术科研互动平台
»
化学化工区
»
电化学
»
电分析测试
»
求助分析CV曲线异常
5
1/1
返回列表
查看: 1258 | 回复: 4
只看楼主
@他人
存档
新回复提醒
(忽略)
收藏
在APP中查看
shiqudeguoke
木虫
(小有名气)
ECEPI: 1
应助: 0
(幼儿园)
金币: 3277.3
红花: 1
帖子: 117
在线: 265.7小时
虫号: 1529860
注册: 2011-12-08
性别: GG
专业: 电化学
[
求助
]
求助分析CV曲线异常
已有3人参与
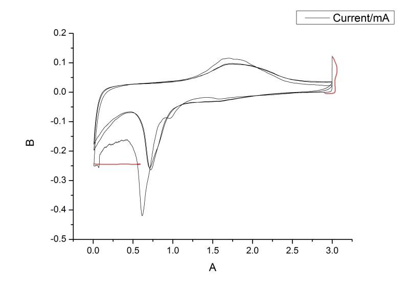
求各位锂电前辈帮忙分析下,为何我测的Fe3O4的CV是这种形式?第一圈中有2.6-3V中有一段直线,0-0.4V中曲线不光滑?测试条件及测试图如图所示。
CV.jpg
测试条件.JPG
回复此楼
» 猜你喜欢
CSC & MSCA 博洛尼亚大学能源材料课题组博士/博士后招生|MSCA经费充足、排名优
已经有6人回复
德国Karlsruhe Institute of Technology招收电化学储能及联合培养CSC博士等
已经有20人回复
物理化学论文润色/翻译怎么收费?
已经有61人回复
德国Karlsruhe Institute of Technology招收电化学储能及联合培养CSC博士
已经有24人回复
德国Karlsruhe Institute of Technology招收电化学储能及联合培养CSC博士
已经有1人回复
固态锂金属电池迁移数计算求助
已经有1人回复
荷兰奈梅亨大学赵文博与Galimberti课题组招收理论计算CSC博士 2000 欧元/月+房补
已经有0人回复
26储能博士申请自荐
已经有22人回复
上海交通大学--宁波东方理工大学电池方向博士招生
已经有10人回复
海南大学全国重点实验室杨金霖老师招收储能电池方向博士生(2026年3月报名,9月入学)
已经有0人回复
海南师范大学2026年博士研究生招收 (在职想提升学历人员可报考) 申请考核制+普通招考
已经有0人回复
» 本主题相关价值贴推荐,对您同样有帮助:
CV测试求助,CV曲线点特别乱是怎么回事
已经有11人回复
电化学工作站测试CV曲线的问题请教
已经有10人回复
CV曲线为啥长这样?
已经有16人回复
初入电化学,求教这个CV曲线该如何解释
已经有5人回复
CV曲线求帮分析下!
已经有6人回复
求助一个关于CV曲线的初级问题
已经有9人回复
求助:CV曲线不平滑是什么原因
已经有11人回复
求助大家怎么使用origin8.0做CV曲线
已经有12人回复
CV曲线作出来是条直线,改变灵敏值也不行,为什么,还有各种诡异的CV曲线
已经有28人回复
关于CV曲线的分析
已经有13人回复
大神帮我分析分析CV曲线吧,小妹跪求
已经有5人回复
菜鸟求助CV曲线分析
已经有10人回复
为什么CV曲线不平滑
已经有17人回复
CV曲线 求分析
已经有3人回复
Cu@Pd纳米粒子CV曲线,求助高手分析,,,
已经有7人回复
求大家帮忙分析下这个CV曲线吧
已经有10人回复
【求助】CV多次扫描是什么目的
已经有8人回复
【求助】为什么一个假期CV曲线不一样了?
已经有9人回复
【求助】请教高手 ---CV曲线不闭合
已经有11人回复
【请教】CV曲线形状
已经有18人回复
平平淡淡是真,但也不能失去激情不是吗?
1楼
2014-07-08 09:11:02
已阅
回复此楼
关注TA
给TA发消息
送TA红花
TA的回帖
流水光年
金虫
(正式写手)
应助: 50
(小学生)
金币: 2598.6
散金: 35
红花: 3
帖子: 537
在线: 74.5小时
虫号: 2578971
注册: 2013-08-03
专业: 环境分析化学
【答案】应助回帖
感谢参与,应助指数 +1
你的电池没有静止,使它稳定,你放置的时间是多少
赞
一下
回复此楼
没有最好,只有更好
2楼
2014-07-08 11:14:27
已阅
回复此楼
关注TA
给TA发消息
送TA红花
TA的回帖
zss007007
铜虫
(小有名气)
应助: 4
(幼儿园)
金币: 74.3
散金: 32
红花: 1
帖子: 110
在线: 70.9小时
虫号: 2845684
注册: 2013-12-03
性别:
MM
专业: 电化学
【答案】应助回帖
感谢参与,应助指数 +1
我觉得是你最初扫的第一圈有气泡,不稳定。应该先扫几个循环稳定一下,除去表面的惰性物质。你的图第二圈就好多了嘛
赞
一下
回复此楼
3楼
2014-07-08 19:52:06
已阅
回复此楼
关注TA
给TA发消息
送TA红花
TA的回帖
nuaamsc
银虫
(小有名气)
应助: 39
(小学生)
金币: 411.5
散金: 159
红花: 9
帖子: 137
在线: 57.8小时
虫号: 727820
注册: 2009-03-21
性别: GG
专业: 电化学
【答案】应助回帖
★ ★ ★
感谢参与,应助指数 +1
shiqudeguoke: 金币+3,
★★★
很有帮助
2014-07-20 13:32:54
第一个直线可能是电池不稳定,可以忽略或人为删除,应该是不影响你的整体数据的完整性的。建议是安装好电池后,放置一段时间,是整个电池稳定。
第二个曲线不平滑是因为测试过程中导致的电池不稳定,很有可能是由于Fe3O4的conversion reaction产生reduced Fe,引起电解液分解,体积变化,电极部分结构的物理脱离等等引起的。
你的CV很漂亮,建议重新装个电池测下就行了。
赞
一下
回复此楼
4楼
2014-07-08 22:49:14
已阅
回复此楼
关注TA
给TA发消息
送TA红花
TA的回帖
shiqudeguoke
木虫
(小有名气)
ECEPI: 1
应助: 0
(幼儿园)
金币: 3277.3
红花: 1
帖子: 117
在线: 265.7小时
虫号: 1529860
注册: 2011-12-08
性别: GG
专业: 电化学
引用回帖:
2楼
:
Originally posted by
流水光年
at 2014-07-08 11:14:27
你的电池没有静止,使它稳定,你放置的时间是多少
静置12h
回复此楼
平平淡淡是真,但也不能失去激情不是吗?
5楼
2014-07-09 09:26:48
已阅
回复此楼
关注TA
给TA发消息
送TA红花
TA的回帖
相关版块跳转
有机交流
有机资源
高分子
无机/物化
分析
催化
工艺技术
化工设备
石油化工
精细化工
电化学
环境
SciFinder/Reaxys
我要订阅楼主
shiqudeguoke
的主题更新
5
1/1
返回列表
如果回帖内容含有宣传信息,请如实选中。否则帐号将被全论坛禁言
普通表情
龙
兔
虎
猫
百度网盘
|
360云盘
|
千易网盘
|
华为网盘
在新窗口页面中打开自己喜欢的网盘网站,将文件上传后,然后将下载链接复制到帖子内容中就可以了。
信息提示
关闭
请填处理意见
关闭
确定