| ²é¿´: 2249 | »Ø¸´: 11 | ||||
qinming0451½ð³æ (СÓÐÃûÆø)
|
[ÇóÖú]
matlab»Í¼ÎÊÌ⣡£¡£¡¼±£¡Ï£Íû»áµÄ´óÉñÀ´¿´¿´£¡£¡ ÒÑÓÐ4È˲ÎÓë
|
|||
|
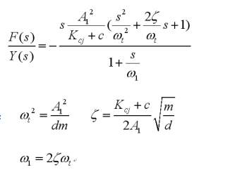
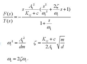
±¾ÈËmatlabÐÂÊÖ£¬ÏëÎÊÈç¹ûÖªµÀ¸Õ¶È´«µÝº¯Êý£¬Ôõô»²»ÊÇÒÔÆµÂÊΪºáÖáµÄͼ¡£ÀýÈçºáÖáÊǾÙÉý½Ç£¬×ÝÖáÊǸնȡ£ 2MVNFB0GG`V~JA`0CBB~%OU.jpg |
» ²ÂÄãϲ»¶
Ò»Ö¾Ô¸ÄϾ©º½¿Õº½Ìì´óѧ ²ÄÁÏÓ뻯¹¤329·ÖÇóµ÷¼Á
ÒѾÓÐ8È˻ظ´
²ÄÁÏר˶283Çóµ÷¼Á
ÒѾÓÐ18È˻ظ´
301Çóµ÷¼Á
ÒѾÓÐ4È˻ظ´
286Çóµ÷¼Á
ÒѾÓÐ6È˻ظ´
297·Ö083200ÇóÖú
ÒѾÓÐ5È˻ظ´
281Çóµ÷¼Á
ÒѾÓÐ4È˻ظ´
0703µ÷¼Á£¬Ò»Ö¾Ô¸Ìì½ò´óѧ319·Ö
ÒѾÓÐ10È˻ظ´
085600²ÄÁÏÓ뻯¹¤301·ÖÇóµ÷¼ÁԺУ
ÒѾÓÐ11È˻ظ´
336²ÄÁÏÓ뻯¹¤085600Çóµ÷¼Á
ÒѾÓÐ9È˻ظ´
312Çóµ÷¼Á
ÒѾÓÐ9È˻ظ´
» ±¾Ö÷ÌâÏà¹Ø¼ÛÖµÌùÍÆ¼ö£¬¶ÔÄúͬÑùÓаïÖú:
ÈçºÎÓÃmatlab½«Õâ¸ö·½³Ì´ú±íµÄͼ»³öÀ´£¬×îºÃÄܰѻͼµÄ´úÂëÌù³öÀ´£¬Ð»Ð»°¡£¡
ÒѾÓÐ11È˻ظ´
matlab×÷ͼÎÊÌâ
ÒѾÓÐ9È˻ظ´
matlabe»Í¼µÄСÎÊÌ⣬Çó´óÉñÃÇÖ¸µãÒ»ÏÂ
ÒѾÓÐ5È˻ظ´
matlab»Í¼ÎÊÌâ: ÔõÑùÓÃСͼ±ê»ò×Ô¶¨ÒåͼÐδúÌæ+ x . oµÈ×öͼ
ÒѾÓÐ10È˻ظ´
ÇóÖú¹ØÓÚmatlab»Í¼µÄÎÊÌâ
ÒѾÓÐ5È˻ظ´
ÇóÖúmatlab»Í¼£¬¼±¼±¼±
ÒѾÓÐ11È˻ظ´
matlab»Í¼ÖеÄÒ»¸öͼ±êÎÊÌâ
ÒѾÓÐ15È˻ظ´
matlab×÷ͼÎÊÌâ
ÒѾÓÐ5È˻ظ´
MATLAB΢·Ö·½³Ì²ÎÊýÄâºÏÎÊÌ⣬Çó´óÉñ
ÒѾÓÐ7È˻ظ´
matlabÖÐÓöµ½µÄ»Í¼Ð¡ÎÊÌ⣬³ÌÐòûÎÊÌâ¡£±êÌâÒª³¤@@@@@@@@@@@@@@@@@@@@@@
ÒѾÓÐ8È˻ظ´
¼ÌÐøÇóÖúMatlab»æÍ¼£¡
ÒѾÓÐ8È˻ظ´
¹ØÓÚMatlab×÷ͼµÄÎÊÌâ
ÒѾÓÐ14È˻ظ´
MATLAB³õѧÕߣ¬ÕâÑùµÄʽ×ÓÔõô¾ÍÊÇ»²»ÁËͼ£¬×ÜÊdzö´í!ÇóÖ¸µ¼!!!!!!!!!!!!!
ÒѾÓÐ8È˻ظ´
MATLAB »Í¼Ð¡ÎÊÌâ
ÒѾÓÐ11È˻ظ´
ÇóÖú£ºË»áÓÃmatlab»Í¼£¿
ÒѾÓÐ13È˻ظ´
¼±Çómatlab¼¶ÊýÇóºÍ¼°Æä»Í¼ÏÔʾ£¨¹«Ê½¼ûͼƬ£©
ÒѾÓÐ8È˻ظ´

dnp
ÈÙÓþ°æÖ÷ (ÖªÃû×÷¼Ò)
Сľ³æÀË×Ó
- Ó¦Öú: 74 (³õÖÐÉú)
- ¹ó±ö: 18.476
- ½ð±Ò: 18844.9
- É¢½ð: 2040
- ºì»¨: 77
- ɳ·¢: 6
- Ìû×Ó: 7318
- ÔÚÏß: 598.1Сʱ
- ³æºÅ: 437184
- ×¢²á: 2007-08-26
- ÐÔ±ð: GG
- רҵ: ÉúÎïÐÅϢѧ
- ¹ÜϽ: Óлú½»Á÷
¡¾´ð°¸¡¿Ó¦Öú»ØÌû
¡ï ¡ï ¡ï ¡ï ¡ï ¡ï ¡ï ¡ï ¡ï ¡ï ¡ï ¡ï ¡ï ¡ï ¡ï ¡ï ¡ï ¡ï ¡ï ¡ï ¡ï ¡ï ¡ï ¡ï ¡ï ¡ï ¡ï ¡ï ¡ï ¡ï ¡ï ¡ï ¡ï ¡ï ¡ï ¡ï ¡ï ¡ï ¡ï ¡ï ¡ï ¡ï ¡ï ¡ï ¡ï ¡ï ¡ï ¡ï ¡ï ¡ï ¡ï ¡ï ...
¸Ðл²ÎÓ룬ӦÖúÖ¸Êý +1
qinming0451: ½ð±Ò+66, ¡ïÓаïÖú 2014-07-08 08:58:56
¸Ðл²ÎÓ룬ӦÖúÖ¸Êý +1
qinming0451: ½ð±Ò+66, ¡ïÓаïÖú 2014-07-08 08:58:56
| ÓÃplotº¯Êý£¬plot(x,y)£¬xÊǺáÖᣬyÊÇ×ÝÖᣬÄã¾Í¿ÉÒÔËæÒâ´¦Àí¡£ |

2Â¥2014-07-06 16:46:07
qinming0451
½ð³æ (СÓÐÃûÆø)
- Ó¦Öú: 1 (Ó×¶ùÔ°)
- ½ð±Ò: 875
- ºì»¨: 9
- Ìû×Ó: 75
- ÔÚÏß: 37.7Сʱ
- ³æºÅ: 1879673
- ×¢²á: 2012-07-05
- ÐÔ±ð: GG
- רҵ: ´«¶¯»úеѧ
|
ÏÈллÄãµÄ»Ø¸´£¬plotÕâ¸öÎÒÖªµÀ£¬¿ÉÎÒÖªµÀµÄÊÇ´«µÝº¯Êý£¬²»ÊÇÒ»¸ö×Ô±äÁ¿ÎªxµÄyº¯Êý£¬ÎҾͲ»»á»ÁË |

3Â¥2014-07-06 17:08:34
supervb
Ìú¸Ëľ³æ (ÎÄ̳¾«Ó¢)
- Ó¦Öú: 252 (´óѧÉú)
- ½ð±Ò: 8119.6
- É¢½ð: 482
- ºì»¨: 40
- Ìû×Ó: 12502
- ÔÚÏß: 1641.2Сʱ
- ³æºÅ: 162367
- ×¢²á: 2006-01-10
- ÐÔ±ð: GG
- רҵ: ¶¯Á¦Ñ§Óë¿ØÖÆ
¡¾´ð°¸¡¿Ó¦Öú»ØÌû
¸Ðл²ÎÓ룬ӦÖúÖ¸Êý +1
| »Í¼Ê±²»ÐèÒªxºÍy±ØÐ붨Òå³Éº¯Êý¹ØÏµ£¬Ö»ÐèÒªµ¥¶À¶¨Òå¸÷×ÔµÄÊý×飨һά¾ØÕó£©x[]ºÍy[]¾ÍÐУ¬È»ºóplot£¨x,y£©»á°´ÕÕÊý×éÐòºÅ·Ö±ðÊÓÆäÎª×ø±êµãλÖÃ×÷ͼ³öÀ´¡£ |

4Â¥2014-07-06 17:53:12
ÔÂÖ»À¶
Ö÷¹ÜÇø³¤ (Ö°Òµ×÷¼Ò)
-

ר¼Ò¾Ñé: +1059 - Ó¦Öú: 1712 (½²Ê¦)
- ¹ó±ö: 8.888
- ½ð±Ò: 68128.7
- É¢½ð: 1938
- ºì»¨: 443
- ɳ·¢: 4
- Ìû×Ó: 4373
- ÔÚÏß: 3291.4Сʱ
- ³æºÅ: 1122189
- ×¢²á: 2010-10-14
- רҵ: ÓîÖæÑ§
- ¹ÜϽ: ¼ÆËãÄ£ÄâÇø

8Â¥2014-07-07 09:31:24
qinming0451
½ð³æ (СÓÐÃûÆø)
- Ó¦Öú: 1 (Ó×¶ùÔ°)
- ½ð±Ò: 875
- ºì»¨: 9
- Ìû×Ó: 75
- ÔÚÏß: 37.7Сʱ
- ³æºÅ: 1879673
- ×¢²á: 2012-07-05
- ÐÔ±ð: GG
- רҵ: ´«¶¯»úеѧ

11Â¥2014-07-07 13:33:05
ÔÂÖ»À¶
Ö÷¹ÜÇø³¤ (Ö°Òµ×÷¼Ò)
-

ר¼Ò¾Ñé: +1059 - Ó¦Öú: 1712 (½²Ê¦)
- ¹ó±ö: 8.888
- ½ð±Ò: 68128.7
- É¢½ð: 1938
- ºì»¨: 443
- ɳ·¢: 4
- Ìû×Ó: 4373
- ÔÚÏß: 3291.4Сʱ
- ³æºÅ: 1122189
- ×¢²á: 2010-10-14
- רҵ: ÓîÖæÑ§
- ¹ÜϽ: ¼ÆËãÄ£ÄâÇø
¡¾´ð°¸¡¿Ó¦Öú»ØÌû
¡ï ¡ï ¡ï ¡ï ¡ï ¡ï ¡ï ¡ï ¡ï ¡ï ¡ï ¡ï ¡ï ¡ï ¡ï ¡ï ¡ï ¡ï ¡ï ¡ï ¡ï ¡ï ¡ï ¡ï ¡ï ¡ï ¡ï ¡ï ¡ï ¡ï ¡ï ¡ï ¡ï ¡ï ¡ï ¡ï ¡ï ¡ï ¡ï ¡ï ¡ï ¡ï ¡ï ¡ï ¡ï ¡ï ¡ï ¡ï ¡ï ¡ï ¡ï ¡ï ...
¸Ðл²ÎÓ룬ӦÖúÖ¸Êý +1
qinming0451: ½ð±Ò+66, ¡ïÓаïÖú 2014-07-08 08:59:10
¸Ðл²ÎÓ룬ӦÖúÖ¸Êý +1
qinming0451: ½ð±Ò+66, ¡ïÓаïÖú 2014-07-08 08:59:10
|
¸ø³ö¾ßÌåµÄ·½³Ì£¬»òÕßÊý¾Ý¡£ Èç¹ûÔʼÊý¾Ý²»·½±ã¸ø³ö£¬¿ÉÒÔÀý¾ÙÊý¾ÝºÍ·½³Ì¡£ ¸Ð¾õÄãµÄÎÊÌâµÄ½âÉæ¼°plot ezplotµÈº¯Êý |

5Â¥2014-07-06 18:21:08
qinming0451
½ð³æ (СÓÐÃûÆø)
- Ó¦Öú: 1 (Ó×¶ùÔ°)
- ½ð±Ò: 875
- ºì»¨: 9
- Ìû×Ó: 75
- ÔÚÏß: 37.7Сʱ
- ³æºÅ: 1879673
- ×¢²á: 2012-07-05
- ÐÔ±ð: GG
- רҵ: ´«¶¯»úеѧ

6Â¥2014-07-07 09:27:24
qinming0451
½ð³æ (СÓÐÃûÆø)
- Ó¦Öú: 1 (Ó×¶ùÔ°)
- ½ð±Ò: 875
- ºì»¨: 9
- Ìû×Ó: 75
- ÔÚÏß: 37.7Сʱ
- ³æºÅ: 1879673
- ×¢²á: 2012-07-05
- ÐÔ±ð: GG
- רҵ: ´«¶¯»úеѧ

7Â¥2014-07-07 09:28:25
¡ï ¡ï ¡ï ¡ï ¡ï ¡ï ¡ï ¡ï ¡ï ¡ï ¡ï ¡ï ¡ï ¡ï ¡ï ¡ï ¡ï ¡ï ¡ï ¡ï ¡ï ¡ï ¡ï ¡ï ¡ï ¡ï ¡ï ¡ï ¡ï ¡ï ¡ï ¡ï ¡ï ¡ï ¡ï ¡ï ¡ï ¡ï ¡ï ¡ï ¡ï ¡ï ¡ï ¡ï ¡ï ¡ï ¡ï ¡ï ¡ï ¡ï ¡ï ¡ï ...
¸Ðл²ÎÓ룬ӦÖúÖ¸Êý +1
qinming0451: ½ð±Ò+68, ¡ïÓаïÖú 2014-07-08 08:59:28
¸Ðл²ÎÓ룬ӦÖúÖ¸Êý +1
qinming0451: ½ð±Ò+68, ¡ïÓаïÖú 2014-07-08 08:59:28
|
±¾ÌûÄÚÈݱ»ÆÁ±Î |
9Â¥2014-07-07 10:02:28
qinming0451
½ð³æ (СÓÐÃûÆø)
- Ó¦Öú: 1 (Ó×¶ùÔ°)
- ½ð±Ò: 875
- ºì»¨: 9
- Ìû×Ó: 75
- ÔÚÏß: 37.7Сʱ
- ³æºÅ: 1879673
- ×¢²á: 2012-07-05
- ÐÔ±ð: GG
- רҵ: ´«¶¯»úеѧ

10Â¥2014-07-07 13:32:42














»Ø¸´´ËÂ¥