24小时热门版块排行榜    

北京石油化工学院2026年研究生招生接收调剂公告
查看: 980  |  回复: 1

gaoyanggood

木虫 (著名写手)

金刚虫

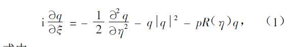
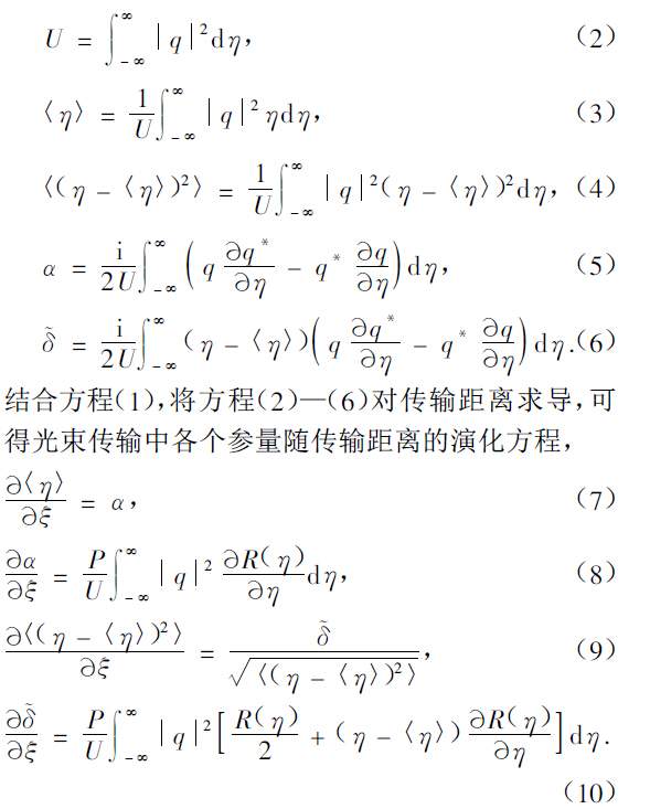
[求助] 矩方法 解 非线性薛定谔方程

求解非线性薛定谔方程时定义几个参量(矩),在求高阶矩求导时的详细推导过程是怎样的?
比如(7)的推导过程

矩方法 解 非线性薛定谔方程
{AIHH2)NKZIFYV`Q@EFY@~S.jpg


矩方法 解 非线性薛定谔方程-1
L[S2~TJ`S}7U85DV{]5Y]49.jpg
回复此楼

» 猜你喜欢

» 本主题相关价值贴推荐,对您同样有帮助:

今天是3.1
已阅   回复此楼   关注TA 给TA发消息 送TA红花 TA的回帖
回帖置顶 ( 共有1个 )

gaoyanggood

木虫 (著名写手)

金刚虫

gaoyanggood: 回帖置顶 2014-07-10 10:03:09
金币怎么发给自己啊?
今天是3.1
2楼2014-07-10 10:02:37
已阅   回复此楼   关注TA 给TA发消息 送TA红花 TA的回帖
相关版块跳转 我要订阅楼主 gaoyanggood 的主题更新
最具人气热帖推荐 [查看全部] 作者 回/看 最后发表
[考研] 329求调剂 +7 钮恩雪 2026-03-25 7/350 2026-03-27 04:28 by wxiongid
[考研] 0703化学338求调剂! +5 Zuhui0306 2026-03-26 6/300 2026-03-26 23:42 by 381988266
[考研] 求调剂 一志愿 本科 北科大 化学 343 +6 13831862839 2026-03-24 7/350 2026-03-26 22:57 by 不吃魚的貓
[考研] 333求调剂 +6 wfh030413@ 2026-03-23 6/300 2026-03-26 22:45 by 学员8dgXkO
[考研] 324求调剂 +3 hanamiko 2026-03-26 3/150 2026-03-26 21:00 by sanrepian
[考研] 调剂 +4 柚柚yoyo 2026-03-26 4/200 2026-03-26 20:43 by fmesaito
[考研] 0703化学/290求调剂/本科经历丰富/工科也可 +7 丹青奶盖 2026-03-26 7/350 2026-03-26 19:18 by macy2011
[考研] 22 350 本科985求调剂,求老登收留 +4 李轶男003 2026-03-20 4/200 2026-03-26 16:05 by 哇啦啦啦xtj
[硕博家园] 北京林业大学硕导招生广告 +5 kongweilin 2026-03-26 7/350 2026-03-26 14:37 by mapenggao
[考研] 一志愿天津大学339材料与化工求调剂 +3 江往卖鱼 2026-03-26 3/150 2026-03-26 09:42 by 王小欠i
[考研] 085600材料与化工调剂 +9 A-哆啦Z梦 2026-03-23 15/750 2026-03-25 11:18 by Ainin_
[考研] 086003食品工程求调剂 +6 淼淼111 2026-03-24 6/300 2026-03-25 10:29 by 3Strings
[考研] 080500求调剂 +3 zzzzfan 2026-03-24 3/150 2026-03-24 16:38 by barlinike
[考研] 求调剂 +7 十三加油 2026-03-21 7/350 2026-03-23 23:48 by 热情沙漠
[考研] 328求调剂 +4 LHHL66 2026-03-23 4/200 2026-03-23 14:55 by lbsjt
[考研] 298求调剂 +8 上岸6666@ 2026-03-20 8/400 2026-03-23 11:02 by laoshidan
[考研] 求调剂 +5 Zhangbod 2026-03-21 7/350 2026-03-22 13:13 by Zhangbod
[考研] 297求调剂 +3 喜欢还是不甘心 2026-03-20 3/150 2026-03-21 18:33 by 学员8dgXkO
[考研] 一志愿重庆大学085700资源与环境总分308求调剂 +7 墨墨漠 2026-03-20 7/350 2026-03-21 16:36 by barlinike
[考研] 南昌大学材料专硕311分求调剂 +6 77chaselx 2026-03-20 6/300 2026-03-21 07:24 by JourneyLucky
信息提示
请填处理意见