| 查看: 1233 | 回复: 9 | |||
ruthxu金虫 (正式写手)
|
[求助]
关于langevin动力学和布朗动力学中随机力相关性的问题 已有2人参与
|
|
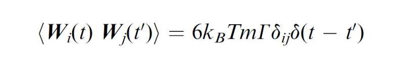
langevin dynamic 和布朗动力学方程都有一项随机力,例如langevin 动力学的运动方程为: 问题是关于随机力的自相关性,有的文献为: 而有的文献中给前面系数为2. 我现在不清楚2和6到底有什么区别? 254dd77263b3558558bae4ed0c00c2ad.jpg 6fdde7df4e97f48542c75017494f2d92.jpg |
» 猜你喜欢
同年申请2项不同项目,第1个项目里不写第2个项目的信息,可以吗
已经有6人回复
依托企业入选了国家启明计划青年人才。有无高校可以引进的。
已经有6人回复
依托企业入选了国家启明计划青年人才。有无高校可以引进的。
已经有10人回复
天津大学招2026.09的博士生,欢迎大家推荐交流(博导是本人)
已经有9人回复
有院领导为了换新车,用横向课题经费买了俩车
已经有10人回复
遇见不省心的家人很难过
已经有24人回复
AI 太可怕了,写基金时,提出想法,直接生成的文字比自己想得深远,还有科学性
已经有6人回复
酰胺脱乙酰基
已经有13人回复
有时候真觉得大城市人没有县城人甚至个体户幸福
已经有10人回复

【答案】应助回帖
★ ★
感谢参与,应助指数 +1
ruthxu(月只蓝代发): 金币+2, 鼓励交流! 2014-07-08 16:05:26
感谢参与,应助指数 +1
ruthxu(月只蓝代发): 金币+2, 鼓励交流! 2014-07-08 16:05:26
|
http://en.wikipedia.org/wiki/Langevin_dynamics 这里的公式是对你,你参照这个推下, BeeMD开发团队 |
» 本帖已获得的红花(最新10朵)
2楼2014-07-01 18:53:31
ruthxu
金虫 (正式写手)
- 应助: 2 (幼儿园)
- 金币: 1109.2
- 散金: 62
- 红花: 2
- 帖子: 319
- 在线: 138小时
- 虫号: 1159022
- 注册: 2010-11-30
- 性别: MM
- 专业: 高分子科学
送红花一朵 |
谢谢你的回复。从你给的网页上看,以及维基百科中关于langevin equation的介绍,其中自有力的自相关性前面系数都是2. 而且我不知道怎么推导就能把前面的系数变为6. 你能不能给个详细的说明。非常感谢! http://en.wikipedia.org/wiki/Langevin_equation |

3楼2014-07-02 08:38:59
ruthxu
金虫 (正式写手)
- 应助: 2 (幼儿园)
- 金币: 1109.2
- 散金: 62
- 红花: 2
- 帖子: 319
- 在线: 138小时
- 虫号: 1159022
- 注册: 2010-11-30
- 性别: MM
- 专业: 高分子科学

4楼2014-07-02 09:02:51
lsloneil
专家顾问 (正式写手)
-

专家经验: +49 - 模拟EPI: 2
- 应助: 148 (高中生)
- 金币: 8640.9
- 散金: 507
- 红花: 30
- 帖子: 505
- 在线: 598.4小时
- 虫号: 556471
- 注册: 2008-05-11
- 性别: GG
- 专业: 理论和计算化学
- 管辖: 分子模拟
5楼2014-07-02 09:40:29
ruthxu
金虫 (正式写手)
- 应助: 2 (幼儿园)
- 金币: 1109.2
- 散金: 62
- 红花: 2
- 帖子: 319
- 在线: 138小时
- 虫号: 1159022
- 注册: 2010-11-30
- 性别: MM
- 专业: 高分子科学

6楼2014-07-02 10:47:28
ruthxu
金虫 (正式写手)
- 应助: 2 (幼儿园)
- 金币: 1109.2
- 散金: 62
- 红花: 2
- 帖子: 319
- 在线: 138小时
- 虫号: 1159022
- 注册: 2010-11-30
- 性别: MM
- 专业: 高分子科学

7楼2014-07-02 10:49:55
ruthxu
金虫 (正式写手)
- 应助: 2 (幼儿园)
- 金币: 1109.2
- 散金: 62
- 红花: 2
- 帖子: 319
- 在线: 138小时
- 虫号: 1159022
- 注册: 2010-11-30
- 性别: MM
- 专业: 高分子科学

8楼2014-07-02 10:51:37
lsloneil
专家顾问 (正式写手)
-

专家经验: +49 - 模拟EPI: 2
- 应助: 148 (高中生)
- 金币: 8640.9
- 散金: 507
- 红花: 30
- 帖子: 505
- 在线: 598.4小时
- 虫号: 556471
- 注册: 2008-05-11
- 性别: GG
- 专业: 理论和计算化学
- 管辖: 分子模拟
9楼2014-07-03 09:29:42
lsloneil
专家顾问 (正式写手)
-

专家经验: +49 - 模拟EPI: 2
- 应助: 148 (高中生)
- 金币: 8640.9
- 散金: 507
- 红花: 30
- 帖子: 505
- 在线: 598.4小时
- 虫号: 556471
- 注册: 2008-05-11
- 性别: GG
- 专业: 理论和计算化学
- 管辖: 分子模拟
10楼2014-07-03 09:41:48













回复此楼