| ²é¿´: 900 | »Ø¸´: 1 | |
zhangzi8325Òø³æ (СÓÐÃûÆø)
|
[ÇóÖú]
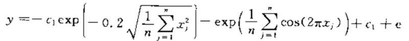
MATLABÖÐÇóºÍ¹«Ê½µÄÊäÈë
|
|
|
|
ÑøÓãÑøÓãгæ (³õÈëÎÄ̳)
|
|
|
2Â¥2014-06-04 21:55:47
|
|














»Ø¸´´ËÂ¥