| 查看: 1100 | 回复: 2 | ||
liangaotian木虫 (小有名气)
|
[交流]
新人求助曾谨言量子力学第五版P70习题 已有2人参与
|
» 本主题相关价值贴推荐,对您同样有帮助:
曾谨言--第四版--量子力学--卷一--答案(清晰PDF)
已经有447人回复
量子力学导论(第二版)/曾谨言
已经有30人回复
【课后答案】量子力学(曾谨言)
已经有109人回复
bfamq
铁杆木虫 (著名写手)
- 应助: 184 (高中生)
- 金币: 6790.9
- 散金: 2115
- 红花: 90
- 帖子: 2320
- 在线: 1029.1小时
- 虫号: 1621962
- 注册: 2012-02-16
- 专业: 凝聚态物性 II :电子结构
★
小木虫: 金币+0.5, 给个红包,谢谢回帖
小木虫: 金币+0.5, 给个红包,谢谢回帖
|
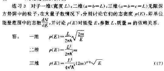
一般用广义动量和广义坐标来描述粒子的状态。那么在相空间中,一个相格就代表粒子的一个状态。即便粒子状态是连续变化,也可近似看把一个小相格元看做是粒子的一个状态。根据不确定性原理,每个小相格dpdq的体积应该等于h(普朗克常量)。那么在p~p+dp中的微观状态的数目就等于相空间的体积比上一个相格的体积。一维情况下,既dN=2dp*L/dpdx=2Ldp/h。其中2倍的,是因为一维情况动量有两个方向。根据p2=2mE,对两边微分,则有pdp=mdE。dp=(√m/√2E )dE。带入上面得dN=L(√2m/√E)/2πh' dE。h拔用h'代替。 二维情况,粒子自由度为2,则小相格体积为h2,相空间体积为L2dpxdpy。则dN=L2dpxdpy/h2。dpxdpy可以用极坐标变换为pdp∫dφ=2πpdp。又根据上面一维结论,pdp=mdE。带入即可。 同理,三维情况,把dpxdpydpz变成p2dp∫∫sinθ2dθdφ=4πp2dp。带入即可。 [ 发自手机版 http://muchong.com/3g ] |

2楼2014-05-28 01:44:34
格下0324
铁虫 (初入文坛)
- 应助: 0 (幼儿园)
- 金币: 15.5
- 帖子: 13
- 在线: 6.5小时
- 虫号: 3760259
- 注册: 2015-03-23
- 性别: MM
- 专业: 凝聚态物性I:结构、力学和

3楼2015-04-04 21:37:36














回复此楼
5